2015年 35卷 第6期
2015, 35(6): 769-776.
doi: 10.11883/1001-1455(2015)06-0769-08
摘要:
为了理解和评价YB-2航空有机玻璃在极端环境下的动态力学性能,采用电子万能试验机和分离式Hopkinson压杆对YB-2航空有机玻璃在218~373 K温度范围、10-3~3 000 s-1应变率范围内的压缩力学行为进行了研究,得到了材料的应力应变曲线。结果表明:随着温度的升高,材料的流动应力逐渐减小而破坏应变呈现增大的趋势;温度相同时,材料的流动应力随应变率的增加而增大,破坏应变随应变率的增加而减小。随着应变率的提高,材料的应变软化效应更加剧烈。基于朱-王-唐(ZWT)本构模型,得到了考虑温度效应的本构参数。结果显示,在8%应变范围内,改进的考虑温度效应的本构模型可以较为理想地表征该材料的应力应变响应。
为了理解和评价YB-2航空有机玻璃在极端环境下的动态力学性能,采用电子万能试验机和分离式Hopkinson压杆对YB-2航空有机玻璃在218~373 K温度范围、10-3~3 000 s-1应变率范围内的压缩力学行为进行了研究,得到了材料的应力应变曲线。结果表明:随着温度的升高,材料的流动应力逐渐减小而破坏应变呈现增大的趋势;温度相同时,材料的流动应力随应变率的增加而增大,破坏应变随应变率的增加而减小。随着应变率的提高,材料的应变软化效应更加剧烈。基于朱-王-唐(ZWT)本构模型,得到了考虑温度效应的本构参数。结果显示,在8%应变范围内,改进的考虑温度效应的本构模型可以较为理想地表征该材料的应力应变响应。
2015, 35(6): 777-784.
doi: 10.11883/1001-1455(2015)06-0777-08
摘要:
考虑爆炸产物发生化学反应产生的影响,对约束爆炸后约束空间内准静态温度的计算进行了研究。以能量守恒定律为基础,考虑爆炸产物的化学反应动力学过程,推导得到约束空间准静态温度的计算公式和方法,使用C++语言编写了计算程序,并对TNT炸药约束爆炸的情况进行了计算。计算结果表明,对于约束爆炸,爆炸产物发生的化学反应对约束空间内温度的变化有明显影响,且不同的药量体积比条件下,准静态温度的变化趋势不同。研究结果可为更准确的计算约束爆炸后的准静态温度及其他爆炸参数提供有效的方法。
考虑爆炸产物发生化学反应产生的影响,对约束爆炸后约束空间内准静态温度的计算进行了研究。以能量守恒定律为基础,考虑爆炸产物的化学反应动力学过程,推导得到约束空间准静态温度的计算公式和方法,使用C++语言编写了计算程序,并对TNT炸药约束爆炸的情况进行了计算。计算结果表明,对于约束爆炸,爆炸产物发生的化学反应对约束空间内温度的变化有明显影响,且不同的药量体积比条件下,准静态温度的变化趋势不同。研究结果可为更准确的计算约束爆炸后的准静态温度及其他爆炸参数提供有效的方法。
2015, 35(6): 785-791.
doi: 10.11883/1001-1455(2015)06-0785-07
摘要:
利用松弛近似,将非线性的凝聚炸药爆轰控制方程转化为线性的松弛方程组,并采用五阶WENO格式和五阶线性多步显隐格式对线性松弛方程组进行空间方向和时间方向的离散,由此建立具有高精度和高分辨率性质的计算凝聚炸药爆轰的松弛方法。建立的松弛方法可以避免求解Riemann问题及计算非线性通量的Jacobi矩阵,同时无需分裂处理反应源项。通过对凝聚炸药的平面一维定常爆轰波结构及球面一维聚心、散心爆轰起爆和传播过程的数值模拟,验证了所建立的松弛方法能够很好地计算凝聚炸药爆轰问题。
利用松弛近似,将非线性的凝聚炸药爆轰控制方程转化为线性的松弛方程组,并采用五阶WENO格式和五阶线性多步显隐格式对线性松弛方程组进行空间方向和时间方向的离散,由此建立具有高精度和高分辨率性质的计算凝聚炸药爆轰的松弛方法。建立的松弛方法可以避免求解Riemann问题及计算非线性通量的Jacobi矩阵,同时无需分裂处理反应源项。通过对凝聚炸药的平面一维定常爆轰波结构及球面一维聚心、散心爆轰起爆和传播过程的数值模拟,验证了所建立的松弛方法能够很好地计算凝聚炸药爆轰问题。
2015, 35(6): 792-798.
doi: 10.11883/1001-1455(2015)06-0792-07
摘要:
为了在气炮上实现应变率为105~106 s-1的复杂加载技术研究,采用自行研制的拉格朗日程序MLEP(multi-material Lagrangian elastic-plastic)对Al-Cu-W材料体系的阻抗梯度飞片复杂加载不锈钢靶板进行数值模拟,计算设计并分析了阻抗梯度飞片的厚度和密度分布指数对靶板压力、速度和应变率峰值等波形的影响。结果表明:密度指数分布越大,加载时间越短,加载后期的压力、速度和应变率峰值曲线更陡峭;同时, 为了避免靶板/LiF窗口界面反射的稀疏波早于阻抗梯度飞片后界面反射的稀疏波达到碰撞面位置,计算设计中还考虑了飞片厚度的影响。此外,对基于理论设计的阻抗梯度飞片进行了动态考核实验,实验结果基本反映了预期的设计,为材料强度的测量奠定了基础。
为了在气炮上实现应变率为105~106 s-1的复杂加载技术研究,采用自行研制的拉格朗日程序MLEP(multi-material Lagrangian elastic-plastic)对Al-Cu-W材料体系的阻抗梯度飞片复杂加载不锈钢靶板进行数值模拟,计算设计并分析了阻抗梯度飞片的厚度和密度分布指数对靶板压力、速度和应变率峰值等波形的影响。结果表明:密度指数分布越大,加载时间越短,加载后期的压力、速度和应变率峰值曲线更陡峭;同时, 为了避免靶板/LiF窗口界面反射的稀疏波早于阻抗梯度飞片后界面反射的稀疏波达到碰撞面位置,计算设计中还考虑了飞片厚度的影响。此外,对基于理论设计的阻抗梯度飞片进行了动态考核实验,实验结果基本反映了预期的设计,为材料强度的测量奠定了基础。
2015, 35(6): 799-806.
doi: 10.11883/1001-1455(2015)06-0799-08
摘要:
为探讨近断层地震动的速度脉冲对结构抗震能力的影响特征,以某高温气冷堆核电厂结构为研究对象,利用有限元软件建立线性三维模型,选择4组具有速度脉冲特性的近断层地震动加速度记录及人工模拟的具有相同加速度反应谱而无速度脉冲的地震动时程分别作为地震动输入,对模型进行动力时程分析,对比在有、无速度脉冲地震动作用下模型的地震反应。研究发现,虽然反应过程中结构仍处于弹性阶段但是地震动的速度脉冲对结构的位移反应具有一定的不利影响,这一点与已有的基本认识不同。因此对于需要安装对位移反应较为敏感设备的高温气冷堆核电厂房,应充分关注地震动速度脉冲对结构反应的影响。
为探讨近断层地震动的速度脉冲对结构抗震能力的影响特征,以某高温气冷堆核电厂结构为研究对象,利用有限元软件建立线性三维模型,选择4组具有速度脉冲特性的近断层地震动加速度记录及人工模拟的具有相同加速度反应谱而无速度脉冲的地震动时程分别作为地震动输入,对模型进行动力时程分析,对比在有、无速度脉冲地震动作用下模型的地震反应。研究发现,虽然反应过程中结构仍处于弹性阶段但是地震动的速度脉冲对结构的位移反应具有一定的不利影响,这一点与已有的基本认识不同。因此对于需要安装对位移反应较为敏感设备的高温气冷堆核电厂房,应充分关注地震动速度脉冲对结构反应的影响。
2015, 35(6): 807-811.
doi: 10.11883/1001-1455(2015)06-0807-05
摘要:
开展了基于微裂纹界面摩擦生热的细观点火模型研究,采用有限元方法对包含化学反应放热和摩擦生热的热传递方程进行了离散求解,计算模型中考虑了炸药颗粒熔化对升温过程的影响。着重分析了点火模型中主要参数(热点尺度、应变率和界面压力)对炸药点火的影响规律。数值研究表明,随着热点尺度的增大,热点的温度上升越快,越容易发生点火;应变率越大或者界面压力越高,热量积累越快,炸药越容易点火。
开展了基于微裂纹界面摩擦生热的细观点火模型研究,采用有限元方法对包含化学反应放热和摩擦生热的热传递方程进行了离散求解,计算模型中考虑了炸药颗粒熔化对升温过程的影响。着重分析了点火模型中主要参数(热点尺度、应变率和界面压力)对炸药点火的影响规律。数值研究表明,随着热点尺度的增大,热点的温度上升越快,越容易发生点火;应变率越大或者界面压力越高,热量积累越快,炸药越容易点火。
2015, 35(6): 812-819.
doi: 10.11883/1001-1455(2015)06-0812-08
摘要:
为提高杆式射流对钢靶的侵彻能力,设计了一种偏心亚半球药型罩,通过爆轰波碰撞理论推导出药型罩压垮速度,并结合改进的PER理论建立了杆式射流成形的模型。分析了药型罩结构参数对爆轰波碰撞压力的影响规律,获得了等质量变壁厚药型罩射流质量及速度分布的变化规律。结果表明:马赫反射压力随偏心距的增大而增大,随外壁曲率半径的增大而减小,而正规斜反射压力与马赫反射压力变化规律相反,且马赫反射压力受药型罩结构影响较大;通过对比不同方案,罩顶与罩口部厚、中间薄形状药型罩形成的射流质量提高了29.5%,头部速度提高了21.3%,且速度梯度最大,相同炸高条件下侵彻深度提高了约2倍装药直径。针对优化结构进行了数值模拟和实验验证,通过对爆轰波波形与药型罩结构合理的匹配设计,使形成的杆式射流成形及侵彻性能得到显著提升。
为提高杆式射流对钢靶的侵彻能力,设计了一种偏心亚半球药型罩,通过爆轰波碰撞理论推导出药型罩压垮速度,并结合改进的PER理论建立了杆式射流成形的模型。分析了药型罩结构参数对爆轰波碰撞压力的影响规律,获得了等质量变壁厚药型罩射流质量及速度分布的变化规律。结果表明:马赫反射压力随偏心距的增大而增大,随外壁曲率半径的增大而减小,而正规斜反射压力与马赫反射压力变化规律相反,且马赫反射压力受药型罩结构影响较大;通过对比不同方案,罩顶与罩口部厚、中间薄形状药型罩形成的射流质量提高了29.5%,头部速度提高了21.3%,且速度梯度最大,相同炸高条件下侵彻深度提高了约2倍装药直径。针对优化结构进行了数值模拟和实验验证,通过对爆轰波波形与药型罩结构合理的匹配设计,使形成的杆式射流成形及侵彻性能得到显著提升。
2015, 35(6): 820-824.
doi: 10.11883/1001-1455(2015)06-0820-05
摘要:
为评估内部爆炸作用下多层钢筒结构的防护效果,考察多层钢筒结构动态响应和变形吸能特征,采用两端开口、总厚度为50 mm的4层圆柱形Q345钢筒,在8.90~18.18 kg TNT药量下进行爆炸实验,并在容器外壁进行应变电测。实验后钢筒结构爆心局部发生塑性变形,内层钢筒变形最大,但未发生破坏。根据研究得到初步认识:采用爆心单位环面变形吸能的设计方法,可以较好地预估给定药量下所需钢筒的厚度;不同药量下,轴向距离超过多层钢筒结构的1/4内径后,其外壁环向变形峰值约减小为爆心截面环向应变峰值的1/2。
为评估内部爆炸作用下多层钢筒结构的防护效果,考察多层钢筒结构动态响应和变形吸能特征,采用两端开口、总厚度为50 mm的4层圆柱形Q345钢筒,在8.90~18.18 kg TNT药量下进行爆炸实验,并在容器外壁进行应变电测。实验后钢筒结构爆心局部发生塑性变形,内层钢筒变形最大,但未发生破坏。根据研究得到初步认识:采用爆心单位环面变形吸能的设计方法,可以较好地预估给定药量下所需钢筒的厚度;不同药量下,轴向距离超过多层钢筒结构的1/4内径后,其外壁环向变形峰值约减小为爆心截面环向应变峰值的1/2。
2015, 35(6): 825-831.
doi: 10.11883/1001-1455(2015)06-0825-07
摘要:
选取几种典型添加剂加入硝酸铵,采用联合国隔板实验研究其加入量、混合方式等对硝酸铵抗爆性能的影响。实验结果表明添加氯化钾(KCl)、氯化钠(NaCl)和磷酸一铵(NH4H2PO4)均有一定的抗爆效果,当KCl添加量为20%(机械混合)或15%(溶液混合),NaCl添加量为35%(机械混合)或15%(溶液混合),NH4H2PO4添加量为25%(机械混合)或30%(溶液混合)时,硝酸铵在联合国隔板实验条件下均不再传播爆轰。对氯化物添加剂,采用溶液混合方式有利于添加剂与硝酸铵的混合均匀,因此该种方式效果更好;而对具有酸性的磷酸一铵,由于溶液混合的酸性能加速硝酸铵热分解,因此机械混合方式的抗爆效果更优。
选取几种典型添加剂加入硝酸铵,采用联合国隔板实验研究其加入量、混合方式等对硝酸铵抗爆性能的影响。实验结果表明添加氯化钾(KCl)、氯化钠(NaCl)和磷酸一铵(NH4H2PO4)均有一定的抗爆效果,当KCl添加量为20%(机械混合)或15%(溶液混合),NaCl添加量为35%(机械混合)或15%(溶液混合),NH4H2PO4添加量为25%(机械混合)或30%(溶液混合)时,硝酸铵在联合国隔板实验条件下均不再传播爆轰。对氯化物添加剂,采用溶液混合方式有利于添加剂与硝酸铵的混合均匀,因此该种方式效果更好;而对具有酸性的磷酸一铵,由于溶液混合的酸性能加速硝酸铵热分解,因此机械混合方式的抗爆效果更优。
2015, 35(6): 832-838.
doi: 10.11883/1001-1455(2015)06-0832-07
摘要:
为研究安装甲板模拟器的浮动冲击平台系统考核舰载设备的机理,对整个系统建立有限元模型进行数值模拟并建立力学模型进行了理论分析。根据船体甲板结构产生的垂向低通滤波特性,提出甲板模拟器具有减缓高频冲击并满足设备安装频率要求的作用。将被试设备的浮动冲击平台考核系统简化为有阻尼的三自由度系统强迫振动模型,通过拉普拉斯变换方法求解了不同冲击环境下被试设备的响应。数值模拟与理论计算结果比较吻合,被试设备响应迅速达到峰值后逐渐衰减,振动频率由高频向低频过渡,在分析浮动冲击平台舰载设备考核系统长时间响应时需考虑阻尼的影响。
为研究安装甲板模拟器的浮动冲击平台系统考核舰载设备的机理,对整个系统建立有限元模型进行数值模拟并建立力学模型进行了理论分析。根据船体甲板结构产生的垂向低通滤波特性,提出甲板模拟器具有减缓高频冲击并满足设备安装频率要求的作用。将被试设备的浮动冲击平台考核系统简化为有阻尼的三自由度系统强迫振动模型,通过拉普拉斯变换方法求解了不同冲击环境下被试设备的响应。数值模拟与理论计算结果比较吻合,被试设备响应迅速达到峰值后逐渐衰减,振动频率由高频向低频过渡,在分析浮动冲击平台舰载设备考核系统长时间响应时需考虑阻尼的影响。
2015, 35(6): 839-845.
doi: 10.11883/1001-1455(2015)06-0839-07
摘要:
激波冲击火焰的现象涉及一系列复杂的物理化学过程,其中涡量的生成与演化对控制火焰发展起重要作用。为系统分析激波冲击火焰过程中的涡量特性,采用二维带化学反应的Navier-Stokes方程对平面入射激波及其反射激波与球形火焰作用的现象进行了数值研究,通过引入并行计算达到高网格分辨率的要求。计算结果表明,斜压项对火焰区内涡量生成起主导作用,压缩项和耗散项在火焰膨胀阶段抑制涡量生成,此外,火焰在激波压缩阶段主要受物理过程而非化学反应过程影响。
激波冲击火焰的现象涉及一系列复杂的物理化学过程,其中涡量的生成与演化对控制火焰发展起重要作用。为系统分析激波冲击火焰过程中的涡量特性,采用二维带化学反应的Navier-Stokes方程对平面入射激波及其反射激波与球形火焰作用的现象进行了数值研究,通过引入并行计算达到高网格分辨率的要求。计算结果表明,斜压项对火焰区内涡量生成起主导作用,压缩项和耗散项在火焰膨胀阶段抑制涡量生成,此外,火焰在激波压缩阶段主要受物理过程而非化学反应过程影响。
2015, 35(6): 846-851.
doi: 10.11883/1001-1455(2015)06-0846-06
摘要:
浇铸类炸药由于质地软、波阻抗及波速都很低,通过传统SHPB实验方法无法得到准确的应力应变数据。透射杆信号幅值过低、试样应力平衡均匀性不高以及大应变加载引起的入射波反射波重叠失效,是进行浇铸类炸药SHPB实验的难点所在。本文中对传统SHPB实验方法进行改进,在试样两端面加装石英晶体应力计,引入石英计所获得的应力数据与应变片测得数据共同对试样应力应变状态进行计算。该方法可以提高透射信号幅值,提供试样大应变加载,避免了入射波反射波重叠导致的信号失效问题,修正了SHPB实验过程中的应力时空不均匀性的影响,提高了实验结果的可靠性。利用改进后的实验方法对典型浇铸类炸药进行了实验研究,得到了较准确的应力应变曲线。
浇铸类炸药由于质地软、波阻抗及波速都很低,通过传统SHPB实验方法无法得到准确的应力应变数据。透射杆信号幅值过低、试样应力平衡均匀性不高以及大应变加载引起的入射波反射波重叠失效,是进行浇铸类炸药SHPB实验的难点所在。本文中对传统SHPB实验方法进行改进,在试样两端面加装石英晶体应力计,引入石英计所获得的应力数据与应变片测得数据共同对试样应力应变状态进行计算。该方法可以提高透射信号幅值,提供试样大应变加载,避免了入射波反射波重叠导致的信号失效问题,修正了SHPB实验过程中的应力时空不均匀性的影响,提高了实验结果的可靠性。利用改进后的实验方法对典型浇铸类炸药进行了实验研究,得到了较准确的应力应变曲线。
2015, 35(6): 852-857.
doi: 10.11883/1001-1455(2015)06-0852-06
摘要:
通过过盈配合的热装配方法对LY12铝合金平面样品施加了径向预应力,采用平面飞片撞击方法获得了预应力对弹性前驱波的影响。结果表明:当飞片均以500 m/s的速度撞击样品时,压缩预应变为0(无预应变)、964.5×10-6和1 886.0×10-6时,弹性前驱波幅值分别为87.56、95.24、121.03 m/s,压缩预应力(变)提高了LY12铝弹性前驱波幅值。结合实验的特点,探讨了对样品施加静态径向预应力的数值模拟方法,结果表明,上升沿(100 μs)较为缓慢的加载可以达到与准静态加载应力分布一样的结果。采用该数值模拟方法给出和验证了弹性前驱波随压缩预应力增加而上升的计算结果,与实验结果较为吻合。
通过过盈配合的热装配方法对LY12铝合金平面样品施加了径向预应力,采用平面飞片撞击方法获得了预应力对弹性前驱波的影响。结果表明:当飞片均以500 m/s的速度撞击样品时,压缩预应变为0(无预应变)、964.5×10-6和1 886.0×10-6时,弹性前驱波幅值分别为87.56、95.24、121.03 m/s,压缩预应力(变)提高了LY12铝弹性前驱波幅值。结合实验的特点,探讨了对样品施加静态径向预应力的数值模拟方法,结果表明,上升沿(100 μs)较为缓慢的加载可以达到与准静态加载应力分布一样的结果。采用该数值模拟方法给出和验证了弹性前驱波随压缩预应力增加而上升的计算结果,与实验结果较为吻合。
2015, 35(6): 858-863.
doi: 10.11883/1001-1455(2015)06-0858-06
摘要:
为了研究酚醛层压材料的冲击力学行为并获得本构模型,利用万能试验机和整形修正的分离式霍普金森压杆(SHPB)装置,对材料试样进行了应变率范围为10-3~103 s-1的单轴压缩实验,得到了不同加载应变率下的应力应变曲线,对其在准静态、动态载荷下的压缩破坏机理进行了初步探讨。结果表明,酚醛层压材料具有较强的应变率效应,与准静态(1.67×10-3 s-1)时相比,在动态载荷(7×102 s-1)下,峰值应力增加了约10倍;破坏应变减少了约一半;在准静态和动态加载条件下试样力学性能的差异是由于纤维基体界面特性以及不同应变率下破坏模式的不同;采用朱-王-唐本构方程描述了酚醛层压材料力学行为,拟合得到了本构方程的系数,在加载过程中,理论计算值与实验结果吻合较好。
为了研究酚醛层压材料的冲击力学行为并获得本构模型,利用万能试验机和整形修正的分离式霍普金森压杆(SHPB)装置,对材料试样进行了应变率范围为10-3~103 s-1的单轴压缩实验,得到了不同加载应变率下的应力应变曲线,对其在准静态、动态载荷下的压缩破坏机理进行了初步探讨。结果表明,酚醛层压材料具有较强的应变率效应,与准静态(1.67×10-3 s-1)时相比,在动态载荷(7×102 s-1)下,峰值应力增加了约10倍;破坏应变减少了约一半;在准静态和动态加载条件下试样力学性能的差异是由于纤维基体界面特性以及不同应变率下破坏模式的不同;采用朱-王-唐本构方程描述了酚醛层压材料力学行为,拟合得到了本构方程的系数,在加载过程中,理论计算值与实验结果吻合较好。
2015, 35(6): 864-870.
doi: 10.11883/1001-1455(2015)06-0864-07
摘要:
采用分离式Hopkinson杆装置,对混凝土进行干燥和饱和状态下的SHPB实验,并与准静态实验进行对比。结果表明:干燥和饱和混凝土均具有明显的应变率效应,中等应变率条件下的应力应变曲线上升段比准静态的曲线陡;饱和混凝土动态强度提高的幅度接近干燥混凝土的2倍,具有更强的应变率敏感性;存在一个应变率临界值,仅当应变率大于临界值时,饱和混凝土的动态强度才大于干燥混凝土的的动态强度;基于实验结果,给出了不同饱和度混凝土强度与应变率的关系。
采用分离式Hopkinson杆装置,对混凝土进行干燥和饱和状态下的SHPB实验,并与准静态实验进行对比。结果表明:干燥和饱和混凝土均具有明显的应变率效应,中等应变率条件下的应力应变曲线上升段比准静态的曲线陡;饱和混凝土动态强度提高的幅度接近干燥混凝土的2倍,具有更强的应变率敏感性;存在一个应变率临界值,仅当应变率大于临界值时,饱和混凝土的动态强度才大于干燥混凝土的的动态强度;基于实验结果,给出了不同饱和度混凝土强度与应变率的关系。
2015, 35(6): 871-875.
doi: 10.11883/1001-1455(2015)06-0871-05
摘要:
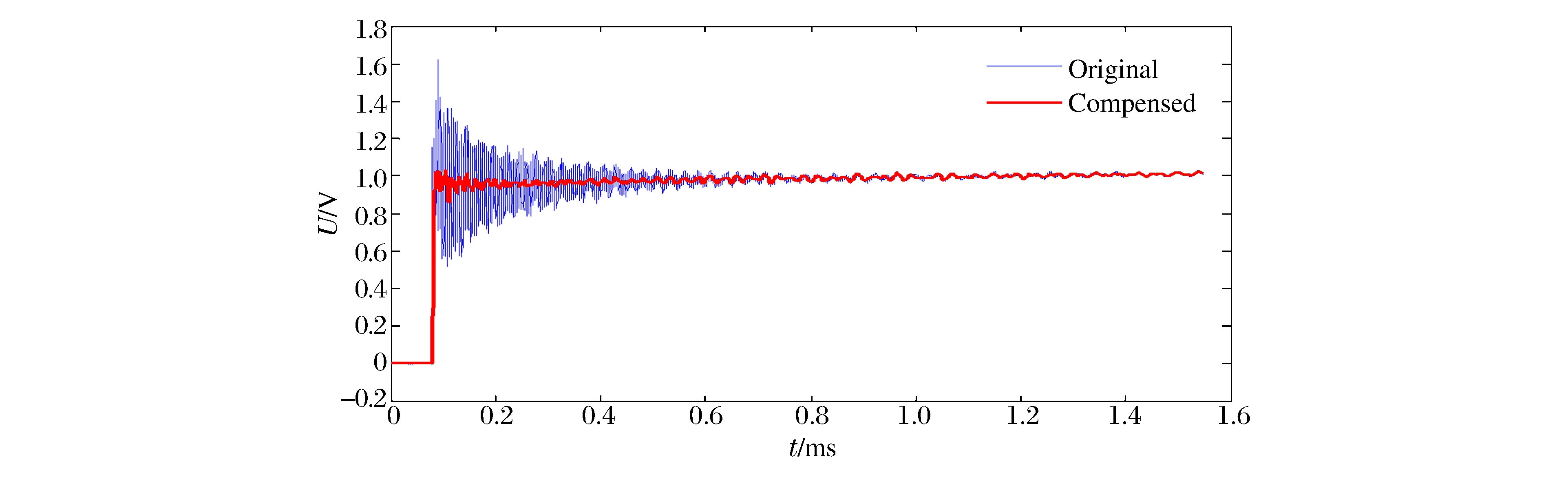
利用激波管对传感器进行动态标定,采用特殊白化滤波器广义最小二乘迭代法建立冲击波测试传感器的数学模型并对其动态特性进行分析,提出采用基于零极点相消原理补偿法来对传感器动态特性进行补偿。实际试验的测试数据处理应用表明,基于动态特性补偿的数据处理方法能够提高传感器动态特性和冲击波测试数据的准确度。
利用激波管对传感器进行动态标定,采用特殊白化滤波器广义最小二乘迭代法建立冲击波测试传感器的数学模型并对其动态特性进行分析,提出采用基于零极点相消原理补偿法来对传感器动态特性进行补偿。实际试验的测试数据处理应用表明,基于动态特性补偿的数据处理方法能够提高传感器动态特性和冲击波测试数据的准确度。
2015, 35(6): 876-880.
doi: 10.11883/1001-1455(2015)06-0876-05
摘要:
发展了一种研究炸药反应阈值的实验方法和分析技术:采用火药炮发射飞片的加载技术产生低冲击加载压力,应用电磁粒子速度计测量JOB-9003炸药后界面与PMMA之间界面粒子速度。通过分析界面粒子速度曲线,得到了低冲击加载下炸药与PMMA之间的界面粒子速度历史,获得了入射压力与未反应和反应后的界面粒子速度之间的up-p关系。JOB-9003炸药在低冲击加载下的化学反应阈值和点火阈值分别为1.42、2.62 GPa。
发展了一种研究炸药反应阈值的实验方法和分析技术:采用火药炮发射飞片的加载技术产生低冲击加载压力,应用电磁粒子速度计测量JOB-9003炸药后界面与PMMA之间界面粒子速度。通过分析界面粒子速度曲线,得到了低冲击加载下炸药与PMMA之间的界面粒子速度历史,获得了入射压力与未反应和反应后的界面粒子速度之间的up-p关系。JOB-9003炸药在低冲击加载下的化学反应阈值和点火阈值分别为1.42、2.62 GPa。
2015, 35(6): 881-887.
doi: 10.11883/1001-1455(2015)06-0881-07
摘要:
由于波形整形技术可减小Hopkinson杆实验在撞击过程中产生的高频振荡以及实现试样在受载过程中的恒应变率加载,因此,波形整形技术越来越受到关注。本文中详细介绍了波形整形技术在Hopkinson杆的动态压缩、拉伸、巴西圆盘、弯曲断裂等实验中的研究进展,并给出了该技术在应用中需注意的问题。
由于波形整形技术可减小Hopkinson杆实验在撞击过程中产生的高频振荡以及实现试样在受载过程中的恒应变率加载,因此,波形整形技术越来越受到关注。本文中详细介绍了波形整形技术在Hopkinson杆的动态压缩、拉伸、巴西圆盘、弯曲断裂等实验中的研究进展,并给出了该技术在应用中需注意的问题。
2015, 35(6): 888-894.
doi: 10.11883/1001-1455(2015)06-0888-07
摘要:
为研究金字塔点阵夹芯板结构在球头落锤碰撞冲击下的抗冲击性能,采用模型实验的方法,加工制作了金字塔点阵4层夹芯板实验模型。通过实验得到了金字塔点阵夹芯板结构在碰撞冲击载荷作用下的坍塌变形过程和变形模式,揭示了点阵结构夹芯层的吸能机理。结果表明,在球头落锤的中等强度冲击载荷下,整个夹芯板结构的最终变形可划分为迎冲面、夹层和背冲面3个区域,形成类似“三明治”式的变形模式。
为研究金字塔点阵夹芯板结构在球头落锤碰撞冲击下的抗冲击性能,采用模型实验的方法,加工制作了金字塔点阵4层夹芯板实验模型。通过实验得到了金字塔点阵夹芯板结构在碰撞冲击载荷作用下的坍塌变形过程和变形模式,揭示了点阵结构夹芯层的吸能机理。结果表明,在球头落锤的中等强度冲击载荷下,整个夹芯板结构的最终变形可划分为迎冲面、夹层和背冲面3个区域,形成类似“三明治”式的变形模式。
2015, 35(6): 895-900.
doi: 10.11883/1001-1455(2015)06-0895-06
摘要:
基于一端起爆的柱壳外爆加载装置,采用多普勒速度测量仪(DPS)及高速分幅相机联合诊断柱壳的膨胀断裂过程。实验获得了壳体表面的速度历史和膨胀变形、裂纹萌生扩展到爆轰产物泄露的动态图像。利用光滑粒子流体动力学方法(SPH)开展了对应的数值模拟,计算结果与实验结果吻合较好。实验与数值模拟结果系统地给出了冲击波入射柱壳角、爆轰波稀疏角、内壁速度压力历史及壳体变形应变、壳体断裂等物理信息。
基于一端起爆的柱壳外爆加载装置,采用多普勒速度测量仪(DPS)及高速分幅相机联合诊断柱壳的膨胀断裂过程。实验获得了壳体表面的速度历史和膨胀变形、裂纹萌生扩展到爆轰产物泄露的动态图像。利用光滑粒子流体动力学方法(SPH)开展了对应的数值模拟,计算结果与实验结果吻合较好。实验与数值模拟结果系统地给出了冲击波入射柱壳角、爆轰波稀疏角、内壁速度压力历史及壳体变形应变、壳体断裂等物理信息。
2015, 35(6): 901-906.
doi: 10.11883/1001-1455(2015)06-0901-06
摘要:
在低浓度煤层气含氧液化工艺过程中,甲烷浓度会处于爆炸极限范围内,存在爆炸危险。采用流场模拟平台,对密闭容器内低温环境条件下的甲烷爆炸过程进行了数值模拟。通过研究得出:在反应体系体积及初始环境压力不变的情况下,环境温度越低,最大爆炸压力越大,到达最大爆炸压力所需时间越长;爆炸流场以化学反应区为阵面分别建立正负流动区,并不断向壁面推进,火焰传播过程受化学反应区正反馈机制的影响,在密闭容器内出现点火、加速传播、衰减传播和猝灭4个阶段;随着环境温度的降低,火焰传播速度明显降低,火焰持续时间延长。该结论可为认清低温条件下的甲烷爆炸机理及预防低浓度煤层气含氧液化工艺爆炸事故提供依据。
在低浓度煤层气含氧液化工艺过程中,甲烷浓度会处于爆炸极限范围内,存在爆炸危险。采用流场模拟平台,对密闭容器内低温环境条件下的甲烷爆炸过程进行了数值模拟。通过研究得出:在反应体系体积及初始环境压力不变的情况下,环境温度越低,最大爆炸压力越大,到达最大爆炸压力所需时间越长;爆炸流场以化学反应区为阵面分别建立正负流动区,并不断向壁面推进,火焰传播过程受化学反应区正反馈机制的影响,在密闭容器内出现点火、加速传播、衰减传播和猝灭4个阶段;随着环境温度的降低,火焰传播速度明显降低,火焰持续时间延长。该结论可为认清低温条件下的甲烷爆炸机理及预防低浓度煤层气含氧液化工艺爆炸事故提供依据。
2015, 35(6): 907-912.
doi: 10.11883/1001-1455(2015)06-0907-06
摘要:
聚氨酯泡沫具有良好的缓冲和吸能性能,以硬质聚氨酯泡沫作为芯体,钢作为面板的夹芯结构在工程中用途广泛。为了研究聚氨酯/钢夹芯结构在爆炸载荷作用下的抗爆性能,利用Ansys/Autodyn非线性有限元程序对聚氨酯/钢夹芯结构在爆炸载荷作用下的动力学响应进行数值模拟分析,并与相同面密度的钢板进行对比。结果表明,加入聚氨酯芯体后,结构的吸收能量为相同面密度钢板的1.49倍,整体结构的抗爆性能得到很大的提高。
聚氨酯泡沫具有良好的缓冲和吸能性能,以硬质聚氨酯泡沫作为芯体,钢作为面板的夹芯结构在工程中用途广泛。为了研究聚氨酯/钢夹芯结构在爆炸载荷作用下的抗爆性能,利用Ansys/Autodyn非线性有限元程序对聚氨酯/钢夹芯结构在爆炸载荷作用下的动力学响应进行数值模拟分析,并与相同面密度的钢板进行对比。结果表明,加入聚氨酯芯体后,结构的吸收能量为相同面密度钢板的1.49倍,整体结构的抗爆性能得到很大的提高。
2015, 35(6): 913-918.
doi: 10.11883/1001-1455(2015)06-0913-06
摘要:
利用扫描电镜(SEM)对岩爆岩石断口微观形貌特征进行研究分析,从微观角度探索岩爆产生的机理。通过对平顶山十二矿岩爆现场取样对其断口形貌特征与地应力和岩石成分之间关系进行研究。巷道围岩劈裂岩块断口形貌多呈台阶状,劈裂面与地应力最大主应力方向平行,岩石断口属拉张断裂,劈裂纹的产生主要是脆性断裂;岩爆抛射出的岩块断口形貌非常复杂,裂面与切应力(最大主应力)方向平行或相交,不同平面内的微裂纹通过与岩爆裂纹间的微裂纹或受撕裂作用形成台阶,表面不平整,属于拉张或剪切型断裂。岩石细观成分对岩爆的影响也较大,结晶程度高、结构致密的硬脆岩石更易发生岩爆。
利用扫描电镜(SEM)对岩爆岩石断口微观形貌特征进行研究分析,从微观角度探索岩爆产生的机理。通过对平顶山十二矿岩爆现场取样对其断口形貌特征与地应力和岩石成分之间关系进行研究。巷道围岩劈裂岩块断口形貌多呈台阶状,劈裂面与地应力最大主应力方向平行,岩石断口属拉张断裂,劈裂纹的产生主要是脆性断裂;岩爆抛射出的岩块断口形貌非常复杂,裂面与切应力(最大主应力)方向平行或相交,不同平面内的微裂纹通过与岩爆裂纹间的微裂纹或受撕裂作用形成台阶,表面不平整,属于拉张或剪切型断裂。岩石细观成分对岩爆的影响也较大,结晶程度高、结构致密的硬脆岩石更易发生岩爆。


在线阅读
PDF
本文被引