2019年 39卷 第10期
			            2019, 39(10): 102201.
			             
		            	doi: 10.11883/bzycj-2018-0303 
    					
						
			        
						摘要: 
针对浅埋高压输气管道爆炸产生的地面振动效应,采用现场试验结合数值模拟的方法展开研究。组织实施了全尺寸天然气管道爆炸试验,掌握了高压输气管道爆炸地面振动的量级范围以及衰减规律。经试验数据分析得到,埋地高压天然气管道爆炸造成的地面振动主要产生于物理爆炸过程中,随后发生的天然气爆燃过程并未产生明显的地面振动。基于非线性有限元程序 LS-Dyna建立了高压输气管道爆炸试验计算模型,计算结果与试验现象吻合较好,验证了模型参数设计的合理性。进一步分析了管道爆炸瞬间管内气体-管壁-土体的相互作用机理、应力分布以及裂纹扩展规律。由计算结果分析得到,管道开裂是由于内部高压气体推动管壁向两侧扩展在裂纹尖端处形成了应力集中,管壁冲击土体的速度可达50 m/s,冲击产生的塑性状态向远处传播逐渐衰减为弹性应力波,即形成了地面振动效应。研究成果揭示了高压气体管道爆炸地面振动的主要成因,可为爆炸事故振动预防提供理论参考和技术支持。
			   
			        
			        
			        
				  
				针对浅埋高压输气管道爆炸产生的地面振动效应,采用现场试验结合数值模拟的方法展开研究。组织实施了全尺寸天然气管道爆炸试验,掌握了高压输气管道爆炸地面振动的量级范围以及衰减规律。经试验数据分析得到,埋地高压天然气管道爆炸造成的地面振动主要产生于物理爆炸过程中,随后发生的天然气爆燃过程并未产生明显的地面振动。基于非线性有限元程序 LS-Dyna建立了高压输气管道爆炸试验计算模型,计算结果与试验现象吻合较好,验证了模型参数设计的合理性。进一步分析了管道爆炸瞬间管内气体-管壁-土体的相互作用机理、应力分布以及裂纹扩展规律。由计算结果分析得到,管道开裂是由于内部高压气体推动管壁向两侧扩展在裂纹尖端处形成了应力集中,管壁冲击土体的速度可达50 m/s,冲击产生的塑性状态向远处传播逐渐衰减为弹性应力波,即形成了地面振动效应。研究成果揭示了高压气体管道爆炸地面振动的主要成因,可为爆炸事故振动预防提供理论参考和技术支持。
			            2019, 39(10): 102202.
			             
		            	doi: 10.11883/bzycj-2018-0327 
    					
						
			        
						摘要: 
为了研究密闭环境压力载荷波形特征和分布规律,开展了长径比2∶1圆筒装置的TNT装药内爆炸实验,获取了圆筒壁面、端盖板表面的压力载荷数据,结合仿真计算结果,研究了圆筒壁面、端盖板上压力载荷波形特征和形成机理,建立了压力载荷峰值的表征模型,并开展了模型验证。结果表明,圆筒壁面与盖板压力载荷波形不完全相同,壁面压力载荷按照爆心距由近到远,从显著的单波峰向多峰值变化,在近场区域压力载荷衰减特性与一定炸高自由地面冲击波类似;盖板上压力载荷呈多波峰特点,中心区域压力载荷最大峰值大于首峰值的3倍,角隅区域大于首峰值6倍;圆筒壁面上的压力载荷最大峰呈现凹型分布规律。该研究结果可为密闭环境内爆载荷的特性分析和结构毁伤评估提供参考。
			   
			        
			        
			        
				  
				为了研究密闭环境压力载荷波形特征和分布规律,开展了长径比2∶1圆筒装置的TNT装药内爆炸实验,获取了圆筒壁面、端盖板表面的压力载荷数据,结合仿真计算结果,研究了圆筒壁面、端盖板上压力载荷波形特征和形成机理,建立了压力载荷峰值的表征模型,并开展了模型验证。结果表明,圆筒壁面与盖板压力载荷波形不完全相同,壁面压力载荷按照爆心距由近到远,从显著的单波峰向多峰值变化,在近场区域压力载荷衰减特性与一定炸高自由地面冲击波类似;盖板上压力载荷呈多波峰特点,中心区域压力载荷最大峰值大于首峰值的3倍,角隅区域大于首峰值6倍;圆筒壁面上的压力载荷最大峰呈现凹型分布规律。该研究结果可为密闭环境内爆载荷的特性分析和结构毁伤评估提供参考。
			            2019, 39(10): 103101.
			             
		            	doi: 10.11883/bzycj-2018-0295 
    					
						
			        
						摘要: 
采用实验研究、理论分析和有限元模拟相结合的方法,研究了横向爆炸载荷作用下薄壁圆管的动态响应。利用弹道冲击摆锤系统,对圆管在爆炸载荷下的动力响应进行了实验研究,分析了薄壁圆管的变形模式;基于地基梁模型,建立了横向爆炸载荷作用下圆管跨中挠度的理论模型,并进行了无量纲化;通过有限元模拟,分析了圆管的几何参数对其变形模式和跨中挠度的影响,并与理论结果进行了对比。研究结果表明:随着TNT药量增加圆管的变形区域和跨中挠度增大;圆管的长径比、厚度及爆炸载荷参数对圆管的变形模式有较大影响;理论预测、有限元模拟结果与实验结果吻合较好。
			   
			        
			        
			        
				  
				采用实验研究、理论分析和有限元模拟相结合的方法,研究了横向爆炸载荷作用下薄壁圆管的动态响应。利用弹道冲击摆锤系统,对圆管在爆炸载荷下的动力响应进行了实验研究,分析了薄壁圆管的变形模式;基于地基梁模型,建立了横向爆炸载荷作用下圆管跨中挠度的理论模型,并进行了无量纲化;通过有限元模拟,分析了圆管的几何参数对其变形模式和跨中挠度的影响,并与理论结果进行了对比。研究结果表明:随着TNT药量增加圆管的变形区域和跨中挠度增大;圆管的长径比、厚度及爆炸载荷参数对圆管的变形模式有较大影响;理论预测、有限元模拟结果与实验结果吻合较好。
			            2019, 39(10): 103102.
			             
		            	doi: 10.11883/bzycj-2018-0308 
    					
						
			        
						摘要: 
通过数字图像相关法(DIC),应用PMMA对爆炸加载条件下脆性材料的裂纹扩展规律进行了试验研究。基于对称性试验模型,实现了裂纹尖端位置和应变场信息的同步记录。以此为基础,通过对比分析获知,主应变场应变值最大点不能作为裂纹尖端的判断依据。并以动态裂纹扩展速度为参量,应用断裂动力学和最小二乘牛顿迭代法,计算出了考虑惯性效应的Ⅰ-Ⅱ混合型裂纹的应力强度因子:KⅠ和KⅡ值会随着裂纹扩展方向改变而发生突变;KⅠ最大值为2.63 MPa·m1/2,最小值为0.89 MPa·m1/2;其整体变化趋势表明,爆炸加载条件下脆性材料裂纹扩展随能量积聚和释放呈循环阶梯式递减发展。
			   
			        
			        
			        
				  
				通过数字图像相关法(DIC),应用PMMA对爆炸加载条件下脆性材料的裂纹扩展规律进行了试验研究。基于对称性试验模型,实现了裂纹尖端位置和应变场信息的同步记录。以此为基础,通过对比分析获知,主应变场应变值最大点不能作为裂纹尖端的判断依据。并以动态裂纹扩展速度为参量,应用断裂动力学和最小二乘牛顿迭代法,计算出了考虑惯性效应的Ⅰ-Ⅱ混合型裂纹的应力强度因子:KⅠ和KⅡ值会随着裂纹扩展方向改变而发生突变;KⅠ最大值为2.63 MPa·m1/2,最小值为0.89 MPa·m1/2;其整体变化趋势表明,爆炸加载条件下脆性材料裂纹扩展随能量积聚和释放呈循环阶梯式递减发展。
			            2019, 39(10): 103103.
			             
		            	doi: 10.11883/bzycj-2018-0311 
    					
						
			        
						摘要: 
利用空气炮冲击实验对吸能包装结构的跌落过程进行模拟,进行了缩比模型的正撞和30°斜撞实验,针对模型实验进行了数值分析,获得了吸能包装结构模型在撞击过程中的应力分布和塑性变形,并将计算情况与实验结果进行了分析。结果表明:在撞击中吸能包装结构主要通过缓冲木材的塑性变形及外钢壳屈曲产生的塑性铰吸收能量,塑性变形主要集中于撞击端,而远离撞击端未见塑性变形;计算中木材本构参数采用顺纹方向压缩应力应变曲线具有一定的有效性。
			   
			        
			        
			        
				  
				利用空气炮冲击实验对吸能包装结构的跌落过程进行模拟,进行了缩比模型的正撞和30°斜撞实验,针对模型实验进行了数值分析,获得了吸能包装结构模型在撞击过程中的应力分布和塑性变形,并将计算情况与实验结果进行了分析。结果表明:在撞击中吸能包装结构主要通过缓冲木材的塑性变形及外钢壳屈曲产生的塑性铰吸收能量,塑性变形主要集中于撞击端,而远离撞击端未见塑性变形;计算中木材本构参数采用顺纹方向压缩应力应变曲线具有一定的有效性。
			            2019, 39(10): 103201.
			             
		            	doi: 10.11883/bzycj-2018-0279 
    					
						
			        
						摘要: 
为了研究膛口装置对膛口噪声气动特性的影响,对带膛口制退器的某小口径武器的膛口射流噪声进行了数值模拟和实验研究。采用计算流体力学CFD (computational fluid dynamics)-计算气动声学CAA (computational aeroacoustics)耦合算法对膛口噪声进行数值模拟,即对膛口流场进行瞬态CFD模拟,获取流场数据,然后利用所得到的结果采用声学方程模拟声源信息求解声场。基于数值模拟结果,分析了膛口流场变化及噪声的指向性分布,并与实验结果进行了对比。研究表明:膛口制退器的安装改变了膛口流场结构,影响了膛口射流噪声的指向性分布。计算结果与实验结果的误差小于9%,验证了该计算方法的可行性。研究结果可为膛口射流噪声的预测及膛口制退器的设计提供一定的参考。
			   
			        
			        
			        
				  
				为了研究膛口装置对膛口噪声气动特性的影响,对带膛口制退器的某小口径武器的膛口射流噪声进行了数值模拟和实验研究。采用计算流体力学CFD (computational fluid dynamics)-计算气动声学CAA (computational aeroacoustics)耦合算法对膛口噪声进行数值模拟,即对膛口流场进行瞬态CFD模拟,获取流场数据,然后利用所得到的结果采用声学方程模拟声源信息求解声场。基于数值模拟结果,分析了膛口流场变化及噪声的指向性分布,并与实验结果进行了对比。研究表明:膛口制退器的安装改变了膛口流场结构,影响了膛口射流噪声的指向性分布。计算结果与实验结果的误差小于9%,验证了该计算方法的可行性。研究结果可为膛口射流噪声的预测及膛口制退器的设计提供一定的参考。
			            2019, 39(10): 103202.
			             
		            	doi: 10.11883/bzycj-2018-0225 
    					
						
			        
						摘要: 
针对高应力岩体爆破开挖卸载问题,自制了一台轴向加、卸载实验测试平台,通过实验测试获得了爆破卸荷过程中岩杆的动态应变及应变率数据。实测数据表明:开挖面附近岩体的爆破加、卸载以及初始应力卸载应变率均在10−1 s−1量级以上,验证了高地应力区岩体爆破开挖卸荷是一动态过程。建立了初始应力卸载一维力学模型,揭示了卸载波的传播机制;通过分析爆破卸荷过程应变能密度的时空分布特征,建立了应变能密度与各阶段应变率变化规律的联系。结合实测数据,采用隐式-显式顺序求解方法,进一步分析了高应力区岩体爆破卸荷荷载各阶段应变率沿岩杆的变化规律。结果表明:爆破加载阶段的平均应变率沿杆件逐渐衰减,且衰减速度逐渐减小;爆破卸阶段平均应变率沿杆件也呈衰减趋势;而初始应力的应变能稳定释放,其平均应变率无衰减趋势。
			   
			        
			        
			        
				  
				针对高应力岩体爆破开挖卸载问题,自制了一台轴向加、卸载实验测试平台,通过实验测试获得了爆破卸荷过程中岩杆的动态应变及应变率数据。实测数据表明:开挖面附近岩体的爆破加、卸载以及初始应力卸载应变率均在10−1 s−1量级以上,验证了高地应力区岩体爆破开挖卸荷是一动态过程。建立了初始应力卸载一维力学模型,揭示了卸载波的传播机制;通过分析爆破卸荷过程应变能密度的时空分布特征,建立了应变能密度与各阶段应变率变化规律的联系。结合实测数据,采用隐式-显式顺序求解方法,进一步分析了高应力区岩体爆破卸荷荷载各阶段应变率沿岩杆的变化规律。结果表明:爆破加载阶段的平均应变率沿杆件逐渐衰减,且衰减速度逐渐减小;爆破卸阶段平均应变率沿杆件也呈衰减趋势;而初始应力的应变能稳定释放,其平均应变率无衰减趋势。
			            2019, 39(10): 103203.
			             
		            	doi: 10.11883/bzycj-2018-0350 
    					
						
			        
						摘要: 
为获得椭圆截面截卵形刚性弹体正贯穿加筋板的剩余速度,根据椭圆截面弹体贯穿靶板的破坏特征,认为贯穿过程中靶板的能量耗散方式主要为塞块剪切变形功与塞块动能、扩孔塑性变形功、花瓣动力功、花瓣弯曲变形功、靶板整体凹陷变形功、加强筋侧向凹陷变形功。推导了每种能量计算方法,计算中定量考虑了靶板扩孔、花瓣弯曲、凹陷变形的应变率效应。根据能量守恒关系,得到了椭圆截面弹体剩余速度和弹道极限速度预测公式。并通过实验结果对模型进行了验证。结果表明:考虑靶板应变硬化、应变率效应的贯穿模型可以准确预测弹体剩余速度;随着椭圆截面弹体长短轴之比的增大,靶板的弹道极限速度近似线性增大;长短轴之比小于3时,加筋板的主要耗能为花瓣弯曲变形能、整体凹陷变形能。
			   
			        
			        
			        
				  
				为获得椭圆截面截卵形刚性弹体正贯穿加筋板的剩余速度,根据椭圆截面弹体贯穿靶板的破坏特征,认为贯穿过程中靶板的能量耗散方式主要为塞块剪切变形功与塞块动能、扩孔塑性变形功、花瓣动力功、花瓣弯曲变形功、靶板整体凹陷变形功、加强筋侧向凹陷变形功。推导了每种能量计算方法,计算中定量考虑了靶板扩孔、花瓣弯曲、凹陷变形的应变率效应。根据能量守恒关系,得到了椭圆截面弹体剩余速度和弹道极限速度预测公式。并通过实验结果对模型进行了验证。结果表明:考虑靶板应变硬化、应变率效应的贯穿模型可以准确预测弹体剩余速度;随着椭圆截面弹体长短轴之比的增大,靶板的弹道极限速度近似线性增大;长短轴之比小于3时,加筋板的主要耗能为花瓣弯曲变形能、整体凹陷变形能。
			            2019, 39(10): 103301.
			             
		            	doi: 10.11883/bzycj-2018-0275 
    					
						
			        
						摘要: 
为了得到钢筋混凝土目标在动能弹高速冲击作用下的破坏数据,基于大口径发射平台进行了100 mm口径卵形弹体高速侵彻钢筋混凝土靶体的实验,弹体质量为5.4 kg,靶体尺寸分为2 m × 2 m × 1.25 m 和 2 m × 2 m × 1.50 m两种,混凝土抗压强度为50 MPa,弹体侵彻速度为1 345~1 384 m/s,实验获得了弹体的侵彻深度及钢筋混凝土靶体的破坏数据。通过“钢筋混凝土全体单元分离式共节点建模方法”建立钢筋混凝土靶体模型,结合Riedel-Hiermaier-Thoma本构模型对实验工况进行计算。数值模拟给出了侵彻过程中钢筋的拉压力变化和分布规律,很好地模拟出贴近迎弹面钢筋在弹体高速冲击作用下伴随混凝土反向飞溅而产生的反向拉伸现象及靶体背面钢筋在混凝土崩落作用下发生的拉伸现象;数值模拟得到的弹体侵深数据、现象与实验结果吻合良好,实验验证了“钢筋混凝土全体单元分离式共节点建模方法”的可靠性。
			   
			        
			        
			        
				  
				为了得到钢筋混凝土目标在动能弹高速冲击作用下的破坏数据,基于大口径发射平台进行了100 mm口径卵形弹体高速侵彻钢筋混凝土靶体的实验,弹体质量为5.4 kg,靶体尺寸分为2 m × 2 m × 1.25 m 和 2 m × 2 m × 1.50 m两种,混凝土抗压强度为50 MPa,弹体侵彻速度为1 345~1 384 m/s,实验获得了弹体的侵彻深度及钢筋混凝土靶体的破坏数据。通过“钢筋混凝土全体单元分离式共节点建模方法”建立钢筋混凝土靶体模型,结合Riedel-Hiermaier-Thoma本构模型对实验工况进行计算。数值模拟给出了侵彻过程中钢筋的拉压力变化和分布规律,很好地模拟出贴近迎弹面钢筋在弹体高速冲击作用下伴随混凝土反向飞溅而产生的反向拉伸现象及靶体背面钢筋在混凝土崩落作用下发生的拉伸现象;数值模拟得到的弹体侵深数据、现象与实验结果吻合良好,实验验证了“钢筋混凝土全体单元分离式共节点建模方法”的可靠性。
			            2019, 39(10): 103901.
			             
		            	doi: 10.11883/bzycj-2018-0214 
    					
						
			        
						摘要: 
基于ABAQUS软件中的声固耦合法,采用设备、平台一体化分析方法,展开对中型浮动冲击平台的研究,探讨平台外形结构形式对平台冲击环境的影响,并提出了提高平台横向冲击谱谱值的设计方案。首先对外形结构进行初步设计,分析其对平台冲击谱的影响,并找到决定影响程度的关键因素。然后针对结构进行优化,使其更大幅度的提高平台冲击谱谱值。计算表明:在平台外部下方加装挡板结构不会明显影响平台垂向冲击谱,但可以提高平台横向冲击谱;舷侧底端向下延伸加装竖直挡板由于受到冲击波绕射和阻力的影响,增加横向谱值的效果不是很明显;平台底部流线型挡板可以有效增加平台对爆炸载荷的接收效果,同时可以尽量减小阻力影响,从而明显提高平台横向冲击谱谱值。
			   
			        
			        
			        
				  
				基于ABAQUS软件中的声固耦合法,采用设备、平台一体化分析方法,展开对中型浮动冲击平台的研究,探讨平台外形结构形式对平台冲击环境的影响,并提出了提高平台横向冲击谱谱值的设计方案。首先对外形结构进行初步设计,分析其对平台冲击谱的影响,并找到决定影响程度的关键因素。然后针对结构进行优化,使其更大幅度的提高平台冲击谱谱值。计算表明:在平台外部下方加装挡板结构不会明显影响平台垂向冲击谱,但可以提高平台横向冲击谱;舷侧底端向下延伸加装竖直挡板由于受到冲击波绕射和阻力的影响,增加横向谱值的效果不是很明显;平台底部流线型挡板可以有效增加平台对爆炸载荷的接收效果,同时可以尽量减小阻力影响,从而明显提高平台横向冲击谱谱值。
			            2019, 39(10): 104101.
			             
		            	doi: 10.11883/bzycj-2018-0301 
    					
						
			        
						摘要: 
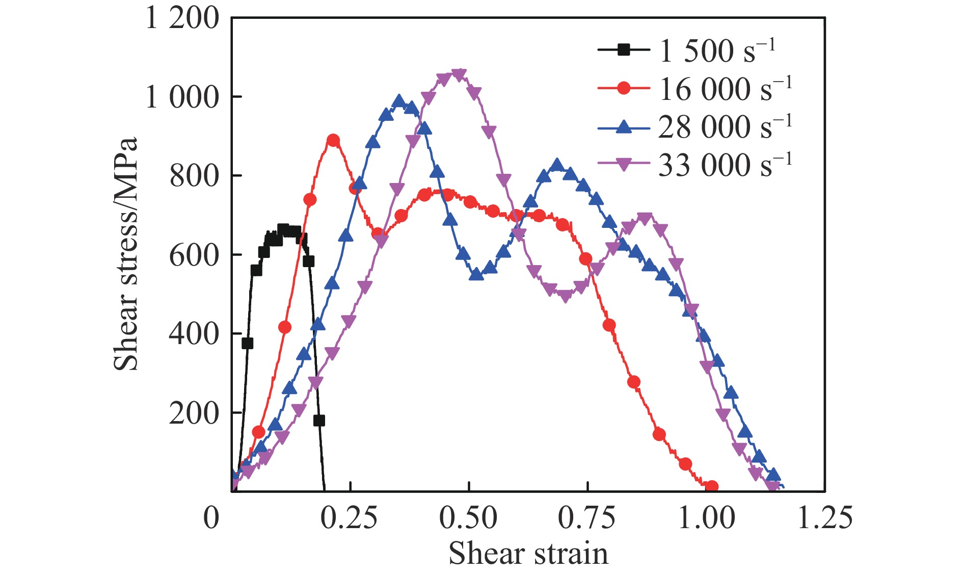
在测试材料动态力学性能时,直接撞击式霍布金森压杆(direct impact Hopkinson pressure bar,DIHPB)实验系统相对于分离式霍布金森压杆(split Hopkinson pressure bar,SHPB),往往能获得更高的应变率。本文中采用一种新型双剪切试样,在DIHPB系统下对603钢进行了动态剪切测试。获得了603钢在应变率1 500~33 000 s−1的剪应力-剪应变曲线,并与SHPB系统下的测试结果进行了对比。结果表明,由两种测试方法获得的流动应力具有较好的一致性,但曲线的上升沿存在明显区别。采用数值模拟对DIHPB方法的准确性进行了验证,并对该实验方法的适用条件进行了分析。采用DIHPB方法,可以观察到603钢的流动应力存在明显的应变率效应,但在较高的加载速度下材料的失效应力随着加载速度的增加而呈降低趋势。
			   
			        
			        
			        
				  
				在测试材料动态力学性能时,直接撞击式霍布金森压杆(direct impact Hopkinson pressure bar,DIHPB)实验系统相对于分离式霍布金森压杆(split Hopkinson pressure bar,SHPB),往往能获得更高的应变率。本文中采用一种新型双剪切试样,在DIHPB系统下对603钢进行了动态剪切测试。获得了603钢在应变率1 500~33 000 s−1的剪应力-剪应变曲线,并与SHPB系统下的测试结果进行了对比。结果表明,由两种测试方法获得的流动应力具有较好的一致性,但曲线的上升沿存在明显区别。采用数值模拟对DIHPB方法的准确性进行了验证,并对该实验方法的适用条件进行了分析。采用DIHPB方法,可以观察到603钢的流动应力存在明显的应变率效应,但在较高的加载速度下材料的失效应力随着加载速度的增加而呈降低趋势。
			            2019, 39(10): 104102.
			             
		            	doi: 10.11883/bzycj-2019-0233 
    					
						
			        
						摘要: 
为提高冲击波超压峰值的测量精度,多数学者把重点集中在系统高频特性研究上,以拓宽带宽的方式提高峰值测试的准确性。冲击波另外两个主要参数正压作用时间、比冲量却和测试系统的低频特性息息相关。针对实爆中出现的不同传感器正压作用时间差异较大的问题,对冲击波信号进行了边际谱分析,获得了信号的低频特性。建立了一阶参数模型来表征低频特性,通过激波管试验数据获取了7种系统的低频模型参数。采用零极点配置法设计了低频补偿模型。结果表明:冲击波测试系统低频特性严重影响冲击波信号正压作用时间测试准确性,基于低频特性补偿的数据处理方法可以有效的提高冲击波信号正压作用时间、比冲量地测试精度。
			   
			        
			        
			        
				  
				为提高冲击波超压峰值的测量精度,多数学者把重点集中在系统高频特性研究上,以拓宽带宽的方式提高峰值测试的准确性。冲击波另外两个主要参数正压作用时间、比冲量却和测试系统的低频特性息息相关。针对实爆中出现的不同传感器正压作用时间差异较大的问题,对冲击波信号进行了边际谱分析,获得了信号的低频特性。建立了一阶参数模型来表征低频特性,通过激波管试验数据获取了7种系统的低频模型参数。采用零极点配置法设计了低频补偿模型。结果表明:冲击波测试系统低频特性严重影响冲击波信号正压作用时间测试准确性,基于低频特性补偿的数据处理方法可以有效的提高冲击波信号正压作用时间、比冲量地测试精度。
			            2019, 39(10): 104103.
			             
		            	doi: 10.11883/bzycj-2018-0371 
    					
						
			        
						摘要: 
与霍普金森拉杆装置中常用的螺纹、胶粘等固定连接方式相比,平板挂钩试件具有连接形式简单、可实现快速组装等优势。针对平板挂钩试件在拉伸过程中因结构几何效应引起的数据测量误差问题,基于影响拉伸试件测量精度的指标:应力平衡达到时间、变形均匀程度、过渡段相对变形以及非轴向力水平,采用正交试验设计、反向传播(back propagation,BP)神经网络与遗传算法相结合的多目标智能协同优化算法对平板挂钩试件的结构参数进行优化,得到了平板挂钩试件最优的结构参数组合,有限元模拟和实验验证了最优结构参数的有效性。该研究结果可为基于平板挂钩试件的霍普金森拉伸实验的数据可靠性分析提供参考。
			   
			        
			        
			        
				  
				与霍普金森拉杆装置中常用的螺纹、胶粘等固定连接方式相比,平板挂钩试件具有连接形式简单、可实现快速组装等优势。针对平板挂钩试件在拉伸过程中因结构几何效应引起的数据测量误差问题,基于影响拉伸试件测量精度的指标:应力平衡达到时间、变形均匀程度、过渡段相对变形以及非轴向力水平,采用正交试验设计、反向传播(back propagation,BP)神经网络与遗传算法相结合的多目标智能协同优化算法对平板挂钩试件的结构参数进行优化,得到了平板挂钩试件最优的结构参数组合,有限元模拟和实验验证了最优结构参数的有效性。该研究结果可为基于平板挂钩试件的霍普金森拉伸实验的数据可靠性分析提供参考。
			            2019, 39(10): 104104.
			             
		            	doi: 10.11883/bzycj-2018-0335 
    					
						
			        
						摘要: 
为探讨UHPC试件惯性效应对SHPB加载过程的影响,采用大型有限元分析软件LS-DYNA从试件直径、长径比以及恒应变率加载等角度出发,开展了相应的数值模拟与分析。通过对软件中Karagozian-Case-Concrete (KCC)损伤模型参数取值进行优化,建立了基于SHPB技术的UHPC材料冲击压缩数值模型并与试验验证。在此基础上,开展不同UHPC试件直径、长径比以及有无整形器下的参数分析,探讨其对SHPB试验中径向惯性效应的影响。结果表明:(1)为实现加载过程中一维应力传播和UHPC试件应力平衡,试件直径建议按0.90~0.95倍杆件直径取值;(2) UHPC试件长径比对试件加载过程中的应力平衡影响较小,但综合试件中钢纤维分布均匀性以及破坏前一维应力传播,建议按0.35~0.45取值;(3)实现恒应变率加载是UHPC材料在SHPB冲击试验中消除径向惯性效应的重要前提。
			   
			        
			        
			        
				  
				为探讨UHPC试件惯性效应对SHPB加载过程的影响,采用大型有限元分析软件LS-DYNA从试件直径、长径比以及恒应变率加载等角度出发,开展了相应的数值模拟与分析。通过对软件中Karagozian-Case-Concrete (KCC)损伤模型参数取值进行优化,建立了基于SHPB技术的UHPC材料冲击压缩数值模型并与试验验证。在此基础上,开展不同UHPC试件直径、长径比以及有无整形器下的参数分析,探讨其对SHPB试验中径向惯性效应的影响。结果表明:(1)为实现加载过程中一维应力传播和UHPC试件应力平衡,试件直径建议按0.90~0.95倍杆件直径取值;(2) UHPC试件长径比对试件加载过程中的应力平衡影响较小,但综合试件中钢纤维分布均匀性以及破坏前一维应力传播,建议按0.35~0.45取值;(3)实现恒应变率加载是UHPC材料在SHPB冲击试验中消除径向惯性效应的重要前提。
			            2019, 39(10): 104201.
			             
		            	doi: 10.11883/bzycj-2018-0261 
    					
						
			        
						摘要: 
为更准确地对超高速碰撞进行数值模拟、获得与实验结果相似度更高的碎片云形态,利用分子动力学方法求解材料的冷能、冷压,并结合Grover定标律方程,建立了一种表达形式简洁、可处理相变影响的新型物态方程,并代入自编柱坐标物质点法计算程序,使用新型物态方程计算所得的碎片云与使用Mie-Grüneisen、Tillotson等传统物态方程的计算结果相比,在尺寸、形态方面均能够与实验结果更好地吻合,证明了新型物态方程的有效性。
			   
			        
			        
			        
				  
				为更准确地对超高速碰撞进行数值模拟、获得与实验结果相似度更高的碎片云形态,利用分子动力学方法求解材料的冷能、冷压,并结合Grover定标律方程,建立了一种表达形式简洁、可处理相变影响的新型物态方程,并代入自编柱坐标物质点法计算程序,使用新型物态方程计算所得的碎片云与使用Mie-Grüneisen、Tillotson等传统物态方程的计算结果相比,在尺寸、形态方面均能够与实验结果更好地吻合,证明了新型物态方程的有效性。
			            2019, 39(10): 105401.
			             
		            	doi: 10.11883/bzycj-2018-0297 
    					
						
			        
						摘要: 
为研究褐煤爆炸过程中冲击气流传播特性及CO毒气生成特性,以水平管道煤尘爆炸实验装置为依托,按1∶1比例建立水平管道几何模型,在构建煤尘爆炸动力传播特性数学模型的基础上,展开冲击气流传播特性与CO生成特性模拟分析。结果表明:通过对比不同时刻褐煤爆炸火焰传播距离模拟值与实测值,验证了模拟方法的可靠性。以冲击气流传播速度模拟值划分空间区域,得到:z=0~0.1 m为初始扬尘区,z=0.1~0.42 m为冲击气流速度跃升区,z=0.42~0.98 m为冲击气流高速传播区,z=0.98~1.4 m为冲击气流缓冲区。z=0.2 m与z=0.4 m截面上距圆心越远,冲击气流传播速度越大,这是由流体流动的“壁面效应”导致的,壁面附近空隙率大于流体内部,流动时所受阻力比较小,因此出现冲击气流在近壁处流速较大的分布特征。模拟CO毒气产物生成特性发现,管内z=0.3~0.6 m为CO质量分数相对最高的空间范围,局部最高达到0.024%~0.026%。在z>0.7 m时,由于颗粒受重力作用,同时爆炸产生的高温气体受浮力作用,导致CO气体产物出现下沉的趋势。
			   
			        
			        
			        
				  
				为研究褐煤爆炸过程中冲击气流传播特性及CO毒气生成特性,以水平管道煤尘爆炸实验装置为依托,按1∶1比例建立水平管道几何模型,在构建煤尘爆炸动力传播特性数学模型的基础上,展开冲击气流传播特性与CO生成特性模拟分析。结果表明:通过对比不同时刻褐煤爆炸火焰传播距离模拟值与实测值,验证了模拟方法的可靠性。以冲击气流传播速度模拟值划分空间区域,得到:z=0~0.1 m为初始扬尘区,z=0.1~0.42 m为冲击气流速度跃升区,z=0.42~0.98 m为冲击气流高速传播区,z=0.98~1.4 m为冲击气流缓冲区。z=0.2 m与z=0.4 m截面上距圆心越远,冲击气流传播速度越大,这是由流体流动的“壁面效应”导致的,壁面附近空隙率大于流体内部,流动时所受阻力比较小,因此出现冲击气流在近壁处流速较大的分布特征。模拟CO毒气产物生成特性发现,管内z=0.3~0.6 m为CO质量分数相对最高的空间范围,局部最高达到0.024%~0.026%。在z>0.7 m时,由于颗粒受重力作用,同时爆炸产生的高温气体受浮力作用,导致CO气体产物出现下沉的趋势。
			            2019, 39(10): 105402.
			             
		            	doi: 10.11883/bzycj-2019-0006 
    					
						
			        
						摘要: 
在自行搭建的竖直透明管道喷粉平台中开展了铝粉尘爆炸实验研究,通过对铝粉爆炸火焰锋面演化及压力变化等特征进行分析,探究泄爆口阻塞比对铝粉爆炸特性的影响规律。结果表明:阻塞比对较小粒径铝粉爆炸火焰锋面结构影响较大。管道中爆炸超压呈双峰形式;对于较小粒径铝粉,超压双峰主导地位在拐点φ=0.4(φ为阻塞比)处发生反转,且第一波峰值与第二波峰值通过转折点时变化趋势不同,第一波峰值随阻塞比增加而升高,并以φ=0.4为拐点,斜率大大提升,而第二波峰值随阻塞比的增加先升后降,且在φ=0.4时达到最大;铝粉粒径较大时,波峰值变化趋势与小粒径类似,拐点后移至φ=0.6。最大(主导)超压峰值随阻塞比增加而增加;小粒径粉尘更容易产生危险性爆炸超压。
			   
			        
			        
			        
				  
				在自行搭建的竖直透明管道喷粉平台中开展了铝粉尘爆炸实验研究,通过对铝粉爆炸火焰锋面演化及压力变化等特征进行分析,探究泄爆口阻塞比对铝粉爆炸特性的影响规律。结果表明:阻塞比对较小粒径铝粉爆炸火焰锋面结构影响较大。管道中爆炸超压呈双峰形式;对于较小粒径铝粉,超压双峰主导地位在拐点φ=0.4(φ为阻塞比)处发生反转,且第一波峰值与第二波峰值通过转折点时变化趋势不同,第一波峰值随阻塞比增加而升高,并以φ=0.4为拐点,斜率大大提升,而第二波峰值随阻塞比的增加先升后降,且在φ=0.4时达到最大;铝粉粒径较大时,波峰值变化趋势与小粒径类似,拐点后移至φ=0.6。最大(主导)超压峰值随阻塞比增加而增加;小粒径粉尘更容易产生危险性爆炸超压。

    						
	   			
在线阅读
PDF 
本文被引