2022年 42卷 第1期
2022, 42(1): 012101.
doi: 10.11883/bzycj-2021-0191
摘要:
为探究甲烷在富氧条件下的火焰动力学规律,以CH4/O2/CO2预混体系为研究对象,在小尺度方形透明管道中进行了一系列爆炸实验,探讨了初始环境温度波动对爆炸参数的影响,并对预混体系的燃烧机理进行分析。结果表明:在273 K的环境温度下,化学当量比\begin{document}$\varphi $\end{document} ![]()
![]()
=0.8~1.0且氧气相对比γ<0.30和\begin{document}$\varphi $\end{document} ![]()
![]()
=1.2且γ<0.35的预混体系不能被点燃,而其他预混体系均可被点燃,最终产生郁金香与非郁金香两种火焰类型,并且根据郁金香火焰独特的演变特征,又划分为T形郁金香火焰和不对称郁金香火焰;随着γ的增大,无量纲火焰传播速度v/(SLσ)的变化趋势由“两升两降”转变为“一升一降”。初始环境温度的升高并未对火焰传播速度和爆炸超压的变化趋势产生影响,但是会导致最大爆炸超压pmax和最大火焰传播速度降低。值得注意的是,初始环境温度对爆炸强度的影响随化学当量比的减小而增强。另外,与最大爆炸超压相比,最大火焰传播速度与层流燃烧速度之间的关系更紧密。从敏感性分析中可知:层流燃烧速度对自由基链式反应R38(即H+O2=O+OH)表现出最大的正敏感度,对R52(即H+CH3 (+M)=CH4 (+M))表现出最大的负敏感度,并且对自由基OH的生成速率最敏感,当初始环境温度升高至303 K时,层流燃烧速度对R38(正)和R52(负)的敏感度降低;H、O和OH自由基总摩尔分数的增大会削弱热扩散的不稳定性,增强流体力学的不稳定性。
为探究甲烷在富氧条件下的火焰动力学规律,以CH4/O2/CO2预混体系为研究对象,在小尺度方形透明管道中进行了一系列爆炸实验,探讨了初始环境温度波动对爆炸参数的影响,并对预混体系的燃烧机理进行分析。结果表明:在273 K的环境温度下,化学当量比
2022, 42(1): 013101.
doi: 10.11883/bzycj-2021-0114
摘要:
结合混凝土试件的真三轴静载冲击实验结果,分别运用考虑应变率效应的Holmquist-Johnson-Cook (HJC)模型和考虑静水压效应的Drucker-Prager (DP)模型进行数值分析,以探讨研究混凝土试样应变率效应和惯性效应的方法。在探究混凝土的应变率效应和横向惯性效应的关系时,使用HJC模型的数值模拟结果来拟合DP准则的各个参数。结果表明:随着应变率的升高,混凝土的强度会提高,并且这种强度的提高,也有一部分原因是第一应力不变量I1的增大所导致的。因此,混凝土试件的应变率效应和横向惯性约束具有较强的耦合作用。理论和数值分析了冲击下试样内部的横向应力分布特征与应变率、静水压和试样尺寸的关系,结果发现:试样内部横向应力的幅值随着应变率、静水压的升高而增大,但随着试样尺寸的增大而减小。为了探讨横向惯性带来的强度提升效果,提出了一个有关冲击方向最大应力σx和等效应力σe的参数ξ,且ξ=(σx−σe)/σx。此参数具有尺寸效应、应变率效应和静水压效应,但是此参数与应力三轴度的关系表现出应变率无关特性,可为应变率效应的研究提供新的思路。
结合混凝土试件的真三轴静载冲击实验结果,分别运用考虑应变率效应的Holmquist-Johnson-Cook (HJC)模型和考虑静水压效应的Drucker-Prager (DP)模型进行数值分析,以探讨研究混凝土试样应变率效应和惯性效应的方法。在探究混凝土的应变率效应和横向惯性效应的关系时,使用HJC模型的数值模拟结果来拟合DP准则的各个参数。结果表明:随着应变率的升高,混凝土的强度会提高,并且这种强度的提高,也有一部分原因是第一应力不变量I1的增大所导致的。因此,混凝土试件的应变率效应和横向惯性约束具有较强的耦合作用。理论和数值分析了冲击下试样内部的横向应力分布特征与应变率、静水压和试样尺寸的关系,结果发现:试样内部横向应力的幅值随着应变率、静水压的升高而增大,但随着试样尺寸的增大而减小。为了探讨横向惯性带来的强度提升效果,提出了一个有关冲击方向最大应力σx和等效应力σe的参数ξ,且ξ=(σx−σe)/σx。此参数具有尺寸效应、应变率效应和静水压效应,但是此参数与应力三轴度的关系表现出应变率无关特性,可为应变率效应的研究提供新的思路。
2022, 42(1): 013102.
doi: 10.11883/bzycj-2021-0074
摘要:
晶体硅具有复杂的相变机制,在相图研究中受到广泛关注,其在动载荷下的变形机制是当前研究热点。为揭示晶体硅在强动加载下的变形和相变行为特征,基于分子动力学方法,采用平板冲击加载方式,模拟研究了单晶硅在初始环境温度为300 K时分别沿[001]、[110]和[111]晶向的不同强度下的冲击压缩行为,冲击粒子速度为0.3~3.2 km/s。研究发现,随着冲击粒子速度的增加,单晶硅剪切应力在逐渐增加后由于结构相变发生急剧下降,相变阈值和相变机制均呈现各向异性。其中,沿[001]晶向冲击压缩下观察到多种固-固相变以及固-液相变,并观察到与最新文献的实验高度一致的固-液共存现象。研究结果可为动加载下晶体硅的相变研究提供纳米尺度的结果支撑。
晶体硅具有复杂的相变机制,在相图研究中受到广泛关注,其在动载荷下的变形机制是当前研究热点。为揭示晶体硅在强动加载下的变形和相变行为特征,基于分子动力学方法,采用平板冲击加载方式,模拟研究了单晶硅在初始环境温度为300 K时分别沿[001]、[110]和[111]晶向的不同强度下的冲击压缩行为,冲击粒子速度为0.3~3.2 km/s。研究发现,随着冲击粒子速度的增加,单晶硅剪切应力在逐渐增加后由于结构相变发生急剧下降,相变阈值和相变机制均呈现各向异性。其中,沿[001]晶向冲击压缩下观察到多种固-固相变以及固-液相变,并观察到与最新文献的实验高度一致的固-液共存现象。研究结果可为动加载下晶体硅的相变研究提供纳米尺度的结果支撑。
2022, 42(1): 013103.
doi: 10.11883/bzycj-2021-0089
摘要:
为探究循环冲击损伤后大理岩的静态断裂力学特征,基于有限差分(finite difference method,FDM)-离散元(discrete element method,DEM)耦合的建模技术构建了三维分离式霍普金森压杆(split Hopkinson pressure bar,SHPB)数值模型,其中杆件系统和岩石试件分别采用FLAC3D和PFC3D程序建模。利用该模型对中心直切槽半圆盘(NSCB)试样进行了恒定子弹速度下的循环冲击,随后对受损试样进行静态三点弯曲断裂实验。通过编写Fish程序,提取试样断裂面数据,对断裂面进行重构并定量计算表面粗糙度。通过与相关室内实验结果的对比分析,验证了本文数值分析的合理性与可靠性。模拟结果表明,随着循环冲击次数的增加,试样内部微裂纹、破碎颗粒均增加。连接力场分布混乱,部分力链发生断裂。力链的变化是试样力学性能劣化的根本原因。在静态三点弯曲断裂实验中,冲击5次后试样的静态断裂韧度较天然试样产生一定程度的降低。试样在静载过程中产生的微裂纹和碎块的数量随循环冲击次数的增加而增加,断裂面粗糙度随循环冲击次数的增加而增加。
为探究循环冲击损伤后大理岩的静态断裂力学特征,基于有限差分(finite difference method,FDM)-离散元(discrete element method,DEM)耦合的建模技术构建了三维分离式霍普金森压杆(split Hopkinson pressure bar,SHPB)数值模型,其中杆件系统和岩石试件分别采用FLAC3D和PFC3D程序建模。利用该模型对中心直切槽半圆盘(NSCB)试样进行了恒定子弹速度下的循环冲击,随后对受损试样进行静态三点弯曲断裂实验。通过编写Fish程序,提取试样断裂面数据,对断裂面进行重构并定量计算表面粗糙度。通过与相关室内实验结果的对比分析,验证了本文数值分析的合理性与可靠性。模拟结果表明,随着循环冲击次数的增加,试样内部微裂纹、破碎颗粒均增加。连接力场分布混乱,部分力链发生断裂。力链的变化是试样力学性能劣化的根本原因。在静态三点弯曲断裂实验中,冲击5次后试样的静态断裂韧度较天然试样产生一定程度的降低。试样在静载过程中产生的微裂纹和碎块的数量随循环冲击次数的增加而增加,断裂面粗糙度随循环冲击次数的增加而增加。
2022, 42(1): 013104.
doi: 10.11883/bzycj-2021-0008
摘要:
有效消减样品端面摩擦力是保证分离式霍普金森压杆(split Hopkinson pressure bar, SHPB)实验结果有效性和准确性的必要条件。为了研究样品粗糙度和润滑效果对端面摩擦力和最终实验结果的影响,以应变率效应不敏感且性能稳定的紫铜为研究对象,通过机械加工配合酸蚀的方法制备了3种典型表面粗糙度的紫铜样品,分别在二硫化钼(MoS2)充分润滑和完全不润滑的条件下各自开展高精度的SHPB重复动态压缩实验研究。结果表明,通常认为能够有效消减金属样品端面摩擦力的MoS2仅能够在样品粗糙度不大于0.8 μm的情况下起到较好的润滑效果,随着紫铜样品粗糙度的增加,MoS2的润滑效果不断降低,端面摩擦力不断增大,实验结果的分散性也显著增加。样品端面粗糙度为1.6 μm时,MoS2已不能有效消减端面摩擦力;样品端面粗糙度达到3.2 μm时,MoS2的润滑效果几乎为零。SHPB实验中使用MoS2润滑金属样品时,压杆和样品实验端面的粗糙度需达到0.8 μm;腐蚀液处理后的金属样品外表面粗糙度难以达到0.8 μm,实验过程中需对样品端面进行比MoS2润滑效果更好的润滑处理,或对实验结果进行扣除端面摩擦力的修正才能够保证实验结果的有效性和准确性。
有效消减样品端面摩擦力是保证分离式霍普金森压杆(split Hopkinson pressure bar, SHPB)实验结果有效性和准确性的必要条件。为了研究样品粗糙度和润滑效果对端面摩擦力和最终实验结果的影响,以应变率效应不敏感且性能稳定的紫铜为研究对象,通过机械加工配合酸蚀的方法制备了3种典型表面粗糙度的紫铜样品,分别在二硫化钼(MoS2)充分润滑和完全不润滑的条件下各自开展高精度的SHPB重复动态压缩实验研究。结果表明,通常认为能够有效消减金属样品端面摩擦力的MoS2仅能够在样品粗糙度不大于0.8 μm的情况下起到较好的润滑效果,随着紫铜样品粗糙度的增加,MoS2的润滑效果不断降低,端面摩擦力不断增大,实验结果的分散性也显著增加。样品端面粗糙度为1.6 μm时,MoS2已不能有效消减端面摩擦力;样品端面粗糙度达到3.2 μm时,MoS2的润滑效果几乎为零。SHPB实验中使用MoS2润滑金属样品时,压杆和样品实验端面的粗糙度需达到0.8 μm;腐蚀液处理后的金属样品外表面粗糙度难以达到0.8 μm,实验过程中需对样品端面进行比MoS2润滑效果更好的润滑处理,或对实验结果进行扣除端面摩擦力的修正才能够保证实验结果的有效性和准确性。
2022, 42(1): 013301.
doi: 10.11883/bzycj-2021-0132
摘要:
基于Kong-Fang混凝土材料模型和LS-DYNA的流固耦合和重启动算法,开展了某新型钻地武器先侵彻后爆炸对混凝土靶体的毁伤破坏效应研究。通过模拟大口径缩比弹侵彻实验和预制孔爆炸实验,验证了材料模型及其参数的可靠性。在此基础上,进一步对预制孔装药爆炸建模、不考虑弹壳的重启动建模和考虑弹壳的重启动建模3种方法进行了比较。数值计算结果表明,由于爆轰产物的外泄,不考虑侵彻预损伤的预制孔装药爆炸方法得到的爆坑直径仅为3倍弹径,且损伤破坏模式与其他2种方法得到的损伤破坏模式区别较大。重启动建模方法继承了弹体侵彻过程中累积的损伤,爆坑直径在原有侵彻损伤破坏的基础上明显增大;且由于弹壳变形破碎消耗部分能量,考虑弹壳时模拟得到的爆坑直径(约14.5倍弹径)略小于不考虑弹壳时模拟得到的爆坑直径(约16倍弹径);但由于破碎弹头的二次侵彻作用,考虑弹壳时模拟得到的爆坑深度比不考虑弹壳时模拟得到的爆坑深度增加约5%。上述研究结果可为进一步开展钻地武器先侵彻后爆炸毁伤破坏效应的实验研究提供参考。
基于Kong-Fang混凝土材料模型和LS-DYNA的流固耦合和重启动算法,开展了某新型钻地武器先侵彻后爆炸对混凝土靶体的毁伤破坏效应研究。通过模拟大口径缩比弹侵彻实验和预制孔爆炸实验,验证了材料模型及其参数的可靠性。在此基础上,进一步对预制孔装药爆炸建模、不考虑弹壳的重启动建模和考虑弹壳的重启动建模3种方法进行了比较。数值计算结果表明,由于爆轰产物的外泄,不考虑侵彻预损伤的预制孔装药爆炸方法得到的爆坑直径仅为3倍弹径,且损伤破坏模式与其他2种方法得到的损伤破坏模式区别较大。重启动建模方法继承了弹体侵彻过程中累积的损伤,爆坑直径在原有侵彻损伤破坏的基础上明显增大;且由于弹壳变形破碎消耗部分能量,考虑弹壳时模拟得到的爆坑直径(约14.5倍弹径)略小于不考虑弹壳时模拟得到的爆坑直径(约16倍弹径);但由于破碎弹头的二次侵彻作用,考虑弹壳时模拟得到的爆坑深度比不考虑弹壳时模拟得到的爆坑深度增加约5%。上述研究结果可为进一步开展钻地武器先侵彻后爆炸毁伤破坏效应的实验研究提供参考。
2022, 42(1): 013302.
doi: 10.11883/bzycj-2021-0007
摘要:
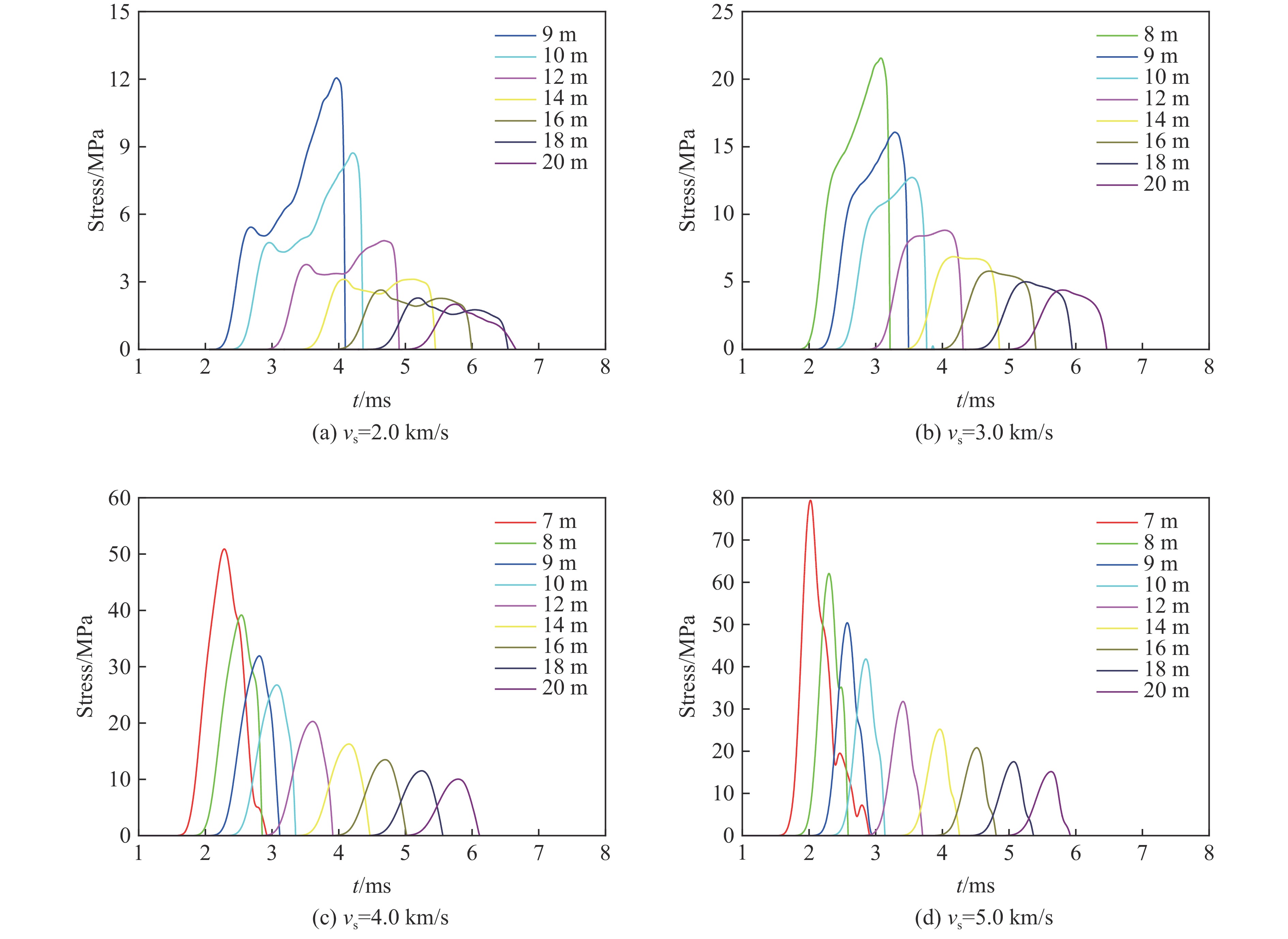
为探究超高速动能武器的对地破坏效应及其影响因素,采用数值模拟方法对弹体超高速侵彻的地冲击规律进行了研究。首先,基于石灰岩静动态力学性能实验数据对材料模型参数进行了标定,并对已有弹体大范围着速侵彻石灰岩靶体进行了模拟,验证了所采用材料模型和数值模拟方法的合理性。随后,开展了钨合金长杆弹超高速侵彻石灰岩靶体的数值模拟,细致分析了地冲击传播的现象和机理:弹体超高速侵彻靶体时,弹靶交界面处会产生瞬时高压,并以应力波的形式在靶体中传播,对靶体内部造成破坏,且当弹体初速度高于3.0 km/s时,地冲击显著增强。最后,进一步研究了不同弹靶参数对地冲击的影响,发现从相对深度来看,弹体参数(弹体长径比、密度)对地冲击规律影响不大;而靶体特征特别是孔隙率对地冲击传播具有较大影响。
为探究超高速动能武器的对地破坏效应及其影响因素,采用数值模拟方法对弹体超高速侵彻的地冲击规律进行了研究。首先,基于石灰岩静动态力学性能实验数据对材料模型参数进行了标定,并对已有弹体大范围着速侵彻石灰岩靶体进行了模拟,验证了所采用材料模型和数值模拟方法的合理性。随后,开展了钨合金长杆弹超高速侵彻石灰岩靶体的数值模拟,细致分析了地冲击传播的现象和机理:弹体超高速侵彻靶体时,弹靶交界面处会产生瞬时高压,并以应力波的形式在靶体中传播,对靶体内部造成破坏,且当弹体初速度高于3.0 km/s时,地冲击显著增强。最后,进一步研究了不同弹靶参数对地冲击的影响,发现从相对深度来看,弹体参数(弹体长径比、密度)对地冲击规律影响不大;而靶体特征特别是孔隙率对地冲击传播具有较大影响。
2022, 42(1): 013303.
doi: 10.11883/bzycj-2021-0111
摘要:
为研究高速杆式弹冲击厚壁壳体装药的起爆机制,运用冲击物理显式欧拉型动力学SPEED软件,开展了不同弹径和弹长的钨合金杆式弹与厚壁壳体Comp-B装药相互作用过程的数值模拟,采用升降法获得弹体起爆装药临界着速及装药起爆位置变化。研究结果表明:弹体起爆装药临界着速随弹径增大而显著降低,随弹长增大呈先降低后平缓变化的规律;弹体以临界着速起爆装药时,存在2种装药起爆机制,即弹体贯穿壳体后的宏观剪切起爆和未贯穿壳体的低速冲击起爆,且其机制随弹体着速在临界着速以上继续提高会发生转变,最终均会转变为高速冲击起爆机制;装药起爆位置均发生在炸药壳体交界面后一定距离处,相同机制下此距离随弹体着速提高而减小。
为研究高速杆式弹冲击厚壁壳体装药的起爆机制,运用冲击物理显式欧拉型动力学SPEED软件,开展了不同弹径和弹长的钨合金杆式弹与厚壁壳体Comp-B装药相互作用过程的数值模拟,采用升降法获得弹体起爆装药临界着速及装药起爆位置变化。研究结果表明:弹体起爆装药临界着速随弹径增大而显著降低,随弹长增大呈先降低后平缓变化的规律;弹体以临界着速起爆装药时,存在2种装药起爆机制,即弹体贯穿壳体后的宏观剪切起爆和未贯穿壳体的低速冲击起爆,且其机制随弹体着速在临界着速以上继续提高会发生转变,最终均会转变为高速冲击起爆机制;装药起爆位置均发生在炸药壳体交界面后一定距离处,相同机制下此距离随弹体着速提高而减小。
2022, 42(1): 014101.
doi: 10.11883/bzycj-2020-0207
摘要:
为开展模型高速斜入水和水中高速航行的水流场实验研究,研制了立式和卧式气炮与水箱组合的实验系统。通过快速阀和活塞阀控制气炮激发和驱动状态,一级气炮采用高压空气直接驱动弹托和模型,二级气炮采用高压空气驱动重活塞压缩使集气腔中产生高压气体,再驱动弹托和模型达到预定速度。通过调节水箱和发射管角度,使高速模型斜入水或水平入水。其中,立式可变发射角二级气炮可发射质量1~1000 g的模型至2500 m/s最大速度,卧式一级气炮可发射质量1~100 kg的模型至300 m/s最大速度。和小气室、高燃气压力火药驱动方式相比,新型气炮采用大体积、中低驱动压力气室,高压气体更接近等熵膨胀做功,调节高压气体压力,能较好地满足模型质量和速度的宽范围要求。结合光反射通断法测速、高速摄影和阴影流场显示等测量技术,得到立式气炮压缩管重活塞运动速度、压缩管末端压力时间曲线和模型倾斜与水平入水的流场阴影图像。结果表明:重活塞速度在膜片破裂前和理论计算值符合较好,但破膜后差异较大。立式气炮流场阴影图像反映了模型斜入水产生的空中和水中激波以及在气水界面的反射激波、空泡形成和侧向气水界面的破碎与飞溅等现象。从卧式气炮的模型水平入水阴影图像提取气泡轮廓,清楚地看出尾部气泡气水界面的波动和失稳。和商业计算软件Fluent计算结果相比,空泡上游区域基本重合,但尾流区域强湍流导致两者存在明显差异。和水洞实验相比,气炮水箱实验系统近真实地再现高速入水过程伴随的冲击和动态空化等物理现象和模型尺度效应。
为开展模型高速斜入水和水中高速航行的水流场实验研究,研制了立式和卧式气炮与水箱组合的实验系统。通过快速阀和活塞阀控制气炮激发和驱动状态,一级气炮采用高压空气直接驱动弹托和模型,二级气炮采用高压空气驱动重活塞压缩使集气腔中产生高压气体,再驱动弹托和模型达到预定速度。通过调节水箱和发射管角度,使高速模型斜入水或水平入水。其中,立式可变发射角二级气炮可发射质量1~1000 g的模型至2500 m/s最大速度,卧式一级气炮可发射质量1~100 kg的模型至300 m/s最大速度。和小气室、高燃气压力火药驱动方式相比,新型气炮采用大体积、中低驱动压力气室,高压气体更接近等熵膨胀做功,调节高压气体压力,能较好地满足模型质量和速度的宽范围要求。结合光反射通断法测速、高速摄影和阴影流场显示等测量技术,得到立式气炮压缩管重活塞运动速度、压缩管末端压力时间曲线和模型倾斜与水平入水的流场阴影图像。结果表明:重活塞速度在膜片破裂前和理论计算值符合较好,但破膜后差异较大。立式气炮流场阴影图像反映了模型斜入水产生的空中和水中激波以及在气水界面的反射激波、空泡形成和侧向气水界面的破碎与飞溅等现象。从卧式气炮的模型水平入水阴影图像提取气泡轮廓,清楚地看出尾部气泡气水界面的波动和失稳。和商业计算软件Fluent计算结果相比,空泡上游区域基本重合,但尾流区域强湍流导致两者存在明显差异。和水洞实验相比,气炮水箱实验系统近真实地再现高速入水过程伴随的冲击和动态空化等物理现象和模型尺度效应。
2022, 42(1): 014201.
doi: 10.11883/bzycj-2021-0218
摘要:
材料动态拉伸力学性能测试中,动态拉伸试样的几何尺寸对测试结果的准确性与有效性有着较大影响。为对动态拉伸试样的结构进行优化设计,以使其在动态拉伸过程中更好地满足一维应力与变形均匀等基本假设。首先,建立了量化的试样测量准确度指标,即应力平衡达到时间、变形均匀度、非轴向应力相对水平、过渡段相对变形。然后,对试样结构参数进行正交试验设计,通过数值模拟的方法得到了关于试样尺寸与测量准确度指标的正交试验数据库,并对正交试验数据库进行多目标正交试验矩阵分析,得到了试样结构参数对各测量准确度指标影响的主次顺序和规律。最后,以正交试验数据库为训练集,采用人工神经网络(artificial neural network, ANN)协同遗传算法(genetic algorithm, GA)的全局寻优方法对试样的结构尺寸进行优化设计,得到了试样的最优结构尺寸,并对最优尺寸的有效性进行了验证。结果表明,优化后的试样结构在材料动态拉伸力学性能测试精度上的表现明显得以提升。因此,采用ANN-GA协同优化的方法对动态拉伸试样的结构进行优化具有可行性和有效性。
材料动态拉伸力学性能测试中,动态拉伸试样的几何尺寸对测试结果的准确性与有效性有着较大影响。为对动态拉伸试样的结构进行优化设计,以使其在动态拉伸过程中更好地满足一维应力与变形均匀等基本假设。首先,建立了量化的试样测量准确度指标,即应力平衡达到时间、变形均匀度、非轴向应力相对水平、过渡段相对变形。然后,对试样结构参数进行正交试验设计,通过数值模拟的方法得到了关于试样尺寸与测量准确度指标的正交试验数据库,并对正交试验数据库进行多目标正交试验矩阵分析,得到了试样结构参数对各测量准确度指标影响的主次顺序和规律。最后,以正交试验数据库为训练集,采用人工神经网络(artificial neural network, ANN)协同遗传算法(genetic algorithm, GA)的全局寻优方法对试样的结构尺寸进行优化设计,得到了试样的最优结构尺寸,并对最优尺寸的有效性进行了验证。结果表明,优化后的试样结构在材料动态拉伸力学性能测试精度上的表现明显得以提升。因此,采用ANN-GA协同优化的方法对动态拉伸试样的结构进行优化具有可行性和有效性。
2022, 42(1): 014202.
doi: 10.11883/bzycj-2021-0106
摘要:
水下爆炸冲击波是舰船抗冲击评估中重要的载荷成分,也是水中结构物毁伤程度快速预报的关键和依据。通过小当量实验发现,由于传统 Taylor 平板理论公式忽略了冲击波波速的非线性变化 ,导致其在预报近距离水下爆炸冲击波壁压脉宽时出现偏差。为此,给出了比例爆距R/W1/3为0.11~5.30 m/kg1/3 (R为爆距,W为炸药质量)下的冲击波速度拟合公式,对传统Taylor理论公式进行修正。修正后,在R/W1/3=0.11 m/kg1/3下,壁压脉宽及冲量偏差大幅减小;在R/W1/3≥0.21 m/kg1/3下,两者偏差均小于12%。此外,在处理水下近场和中远场爆炸问题时,发现数值耗散会导致壁压峰值被明显削弱,于是提出了一种可行的数值策略消除计算中数值耗散导致的削弱效应,结果与修正的Taylor平板理论公式吻合良好,峰值偏差均小于9%。改进后的冲击波壁压理论公式及数值计算方法可为舰船抗爆抗冲击领域提供理论和技术支撑。
水下爆炸冲击波是舰船抗冲击评估中重要的载荷成分,也是水中结构物毁伤程度快速预报的关键和依据。通过小当量实验发现,由于传统 Taylor 平板理论公式忽略了冲击波波速的非线性变化 ,导致其在预报近距离水下爆炸冲击波壁压脉宽时出现偏差。为此,给出了比例爆距R/W1/3为0.11~5.30 m/kg1/3 (R为爆距,W为炸药质量)下的冲击波速度拟合公式,对传统Taylor理论公式进行修正。修正后,在R/W1/3=0.11 m/kg1/3下,壁压脉宽及冲量偏差大幅减小;在R/W1/3≥0.21 m/kg1/3下,两者偏差均小于12%。此外,在处理水下近场和中远场爆炸问题时,发现数值耗散会导致壁压峰值被明显削弱,于是提出了一种可行的数值策略消除计算中数值耗散导致的削弱效应,结果与修正的Taylor平板理论公式吻合良好,峰值偏差均小于9%。改进后的冲击波壁压理论公式及数值计算方法可为舰船抗爆抗冲击领域提供理论和技术支撑。
2022, 42(1): 014203.
doi: 10.11883/bzycj-2021-0095
摘要:
为了计算锥形长药柱水下爆炸冲击波压力,以及研究长脉宽冲击波的传输特性,基于叠加原理建立了冲击波压力-时间曲线的计算方法,通过实验验证了该方法的有效性,在此基础上分析了锥形长药柱不同方位冲击波压力的分布规律。研究结果表明:锥形长药柱产生的冲击波压力具有各向异性,在起爆端一侧形成的是具有厚波头特征的低幅值长脉宽冲击波,在装药径向形成的是接近指数衰减的高幅值冲击波,而在远离起爆端的冲击波压力幅值和脉宽则介于前两者之间。锥形长药柱与球形装药冲击波分布的差异是由于装药形状和起爆方式的改变所导致的,由于装药不同部位起爆的时间差,导致水下爆炸冲击波在不同位置的叠加效果存在明显差异,药柱周围流场中形成的冲击波压力具有方向性。利用提出的计算方法得到的计算结果与实验结果和数值模拟结果吻合较好,研究结果可为锥形长药柱水下爆炸冲击波威力场和毁伤评估提供参考和依据。
为了计算锥形长药柱水下爆炸冲击波压力,以及研究长脉宽冲击波的传输特性,基于叠加原理建立了冲击波压力-时间曲线的计算方法,通过实验验证了该方法的有效性,在此基础上分析了锥形长药柱不同方位冲击波压力的分布规律。研究结果表明:锥形长药柱产生的冲击波压力具有各向异性,在起爆端一侧形成的是具有厚波头特征的低幅值长脉宽冲击波,在装药径向形成的是接近指数衰减的高幅值冲击波,而在远离起爆端的冲击波压力幅值和脉宽则介于前两者之间。锥形长药柱与球形装药冲击波分布的差异是由于装药形状和起爆方式的改变所导致的,由于装药不同部位起爆的时间差,导致水下爆炸冲击波在不同位置的叠加效果存在明显差异,药柱周围流场中形成的冲击波压力具有方向性。利用提出的计算方法得到的计算结果与实验结果和数值模拟结果吻合较好,研究结果可为锥形长药柱水下爆炸冲击波威力场和毁伤评估提供参考和依据。
2022, 42(1): 015201.
doi: 10.11883/bzycj-2020-0436
摘要:
针对自由面不仅影响爆破效果还影响爆破振动效应的问题,提出从能量角度探索自由面对水下爆破振动衰减规律的影响。以三峡大坝至葛洲坝水利枢纽河段水下钻孔爆破地震波现场监测数据为基础,结合SPH-FEM数值模拟技术和小波时频能量分析方法,对不同自由面数量的爆破振动信号的总能量、各频带间的能量分布特征及振动衰减规律进行了研究。结果表明:水下钻孔爆破具有低主频、短持时、快衰减的特点,爆破主频带主要集中在15.625~31.250 Hz;受单一自由面限制的水下开槽爆破,监测信号的爆炸能量主要以振动形式消耗,单自由面比振动能为13.14 mm2/(kg·s2),随着后续开挖爆破自由面数量的增加,双自由面和三自由面的比振动能分别降低至1.36和0.28 mm2/(kg·s2),频带质点峰值振动速度分别降低65%和37%,能量更多用于破碎和抛掷岩体,水下爆破振动主频由低频向高频带(31.25~62.50 Hz)发展。因此,在水下控制爆破设计时,需要考虑自由面数量对振动能量分布和衰减规律的影响,并利用这个特征,确定各段的控制药量,减少对周边建构物的共振危害。
针对自由面不仅影响爆破效果还影响爆破振动效应的问题,提出从能量角度探索自由面对水下爆破振动衰减规律的影响。以三峡大坝至葛洲坝水利枢纽河段水下钻孔爆破地震波现场监测数据为基础,结合SPH-FEM数值模拟技术和小波时频能量分析方法,对不同自由面数量的爆破振动信号的总能量、各频带间的能量分布特征及振动衰减规律进行了研究。结果表明:水下钻孔爆破具有低主频、短持时、快衰减的特点,爆破主频带主要集中在15.625~31.250 Hz;受单一自由面限制的水下开槽爆破,监测信号的爆炸能量主要以振动形式消耗,单自由面比振动能为13.14 mm2/(kg·s2),随着后续开挖爆破自由面数量的增加,双自由面和三自由面的比振动能分别降低至1.36和0.28 mm2/(kg·s2),频带质点峰值振动速度分别降低65%和37%,能量更多用于破碎和抛掷岩体,水下爆破振动主频由低频向高频带(31.25~62.50 Hz)发展。因此,在水下控制爆破设计时,需要考虑自由面数量对振动能量分布和衰减规律的影响,并利用这个特征,确定各段的控制药量,减少对周边建构物的共振危害。
2022, 42(1): 015401.
doi: 10.11883/bzycj-2021-0139
摘要:
为探究油页岩粉尘的爆炸特性,以龙口(Longkou, LK)、茂名(Maoming, MM)、桦甸(Huadian, HD)和抚顺(Fushun, FS)4种油页岩粉尘为研究对象,采用20 L球形爆炸装置,对这4种油页岩粉尘样品开展系统的爆炸实验,探讨油页岩粉尘的粉尘云质量浓度、粒径、挥发分、灰分、氧含量等对其爆炸特性的影响。结果表明:挥发分含量越高,油页岩粉尘的最大爆炸压力pmax、最大压力上升速率(dp/dt)max越高,爆炸下限越低;挥发分和灰分对油页岩粉尘云爆炸分别有显著的促进和抑制作用。在37.52~106.43 μm粒径范围内,这4种油页岩粉尘样品的pmax和(dp/dt)max均随其粉尘粒径的增大而降低,且到达最大爆炸压力的时间逐步缩短,说明小粒径油页岩粉尘较高的脱挥发速率能提高爆炸的反应程度。当粉尘质量浓度在400~2 500 g/m3范围内时,pmax和(dp/dt)max均随粉尘云质量浓度的升高呈现先升高后降低的变化趋势,高于最佳粉尘云质量浓度(1 000 g/m3)时略有下降,但维持在较高水平,表明超过最佳质量浓度的粉尘云引燃后仍有较强的破坏力;LK样品的pmax和(dp/dt)max均最高,分别为0.61 MPa和29.32 MPa/s,与挥发分含量相当的褐煤在同一水平,其爆炸下限为200 g/m3,在4种样品中最低,高于挥发分含量相当的褐煤;在N2惰化条件下,LK样品的pmax和(dp/dt)max均随环境氧含量的降低而降低,当氧含量降至15%时,系统不再发生爆炸,极限氧含量为16%。
为探究油页岩粉尘的爆炸特性,以龙口(Longkou, LK)、茂名(Maoming, MM)、桦甸(Huadian, HD)和抚顺(Fushun, FS)4种油页岩粉尘为研究对象,采用20 L球形爆炸装置,对这4种油页岩粉尘样品开展系统的爆炸实验,探讨油页岩粉尘的粉尘云质量浓度、粒径、挥发分、灰分、氧含量等对其爆炸特性的影响。结果表明:挥发分含量越高,油页岩粉尘的最大爆炸压力pmax、最大压力上升速率(dp/dt)max越高,爆炸下限越低;挥发分和灰分对油页岩粉尘云爆炸分别有显著的促进和抑制作用。在37.52~106.43 μm粒径范围内,这4种油页岩粉尘样品的pmax和(dp/dt)max均随其粉尘粒径的增大而降低,且到达最大爆炸压力的时间逐步缩短,说明小粒径油页岩粉尘较高的脱挥发速率能提高爆炸的反应程度。当粉尘质量浓度在400~2 500 g/m3范围内时,pmax和(dp/dt)max均随粉尘云质量浓度的升高呈现先升高后降低的变化趋势,高于最佳粉尘云质量浓度(1 000 g/m3)时略有下降,但维持在较高水平,表明超过最佳质量浓度的粉尘云引燃后仍有较强的破坏力;LK样品的pmax和(dp/dt)max均最高,分别为0.61 MPa和29.32 MPa/s,与挥发分含量相当的褐煤在同一水平,其爆炸下限为200 g/m3,在4种样品中最低,高于挥发分含量相当的褐煤;在N2惰化条件下,LK样品的pmax和(dp/dt)max均随环境氧含量的降低而降低,当氧含量降至15%时,系统不再发生爆炸,极限氧含量为16%。
2022, 42(1): 015402.
doi: 10.11883/bzycj-2021-0064
摘要:
为揭示甲烷/煤尘复合爆炸火焰的传播机理,利用气粉两相混合爆炸实验系统,在低于甲烷爆炸下限条件下,采用高速摄影机记录火焰传播图像,通过热电偶采集火焰温度,研究了煤尘种类以及甲烷体积分数对甲烷/煤尘复合火焰传播特性的影响。结果表明:挥发分是衡量煤尘燃烧特性的主导因素;随着煤尘挥发分的升高,燃烧反应增强,火焰传播速度升高,火焰温度升高;挥发分含量差异较小时,水分含量越低,燃烧反应越剧烈;在相同条件下,焦煤的燃烧反应强度最高,其次为长焰煤,最后为褐煤;随着甲烷体积分数的增加,煤尘颗粒的燃烧可由释放挥发分的扩散燃烧转变为气相预混燃烧,燃烧反应增强,火焰传播速度和火焰温度显著升高;热辐射和热对流作用促进煤尘颗粒热解,释放挥发分进行燃烧反应,维持复合火焰的持续传播;随着混合体系中甲烷体积分数的增加,混合爆炸机制由粉尘驱动型爆炸转为气体驱动型爆炸,燃烧反应增强;甲烷/煤尘复合爆炸火焰可由未燃区、预热区、气相燃烧区、多相燃烧区和焦炭燃烧区5部分组成,湍流扰动导致燃烧介质空间分布存在差异,使得燃烧区无规则交错分布。
为揭示甲烷/煤尘复合爆炸火焰的传播机理,利用气粉两相混合爆炸实验系统,在低于甲烷爆炸下限条件下,采用高速摄影机记录火焰传播图像,通过热电偶采集火焰温度,研究了煤尘种类以及甲烷体积分数对甲烷/煤尘复合火焰传播特性的影响。结果表明:挥发分是衡量煤尘燃烧特性的主导因素;随着煤尘挥发分的升高,燃烧反应增强,火焰传播速度升高,火焰温度升高;挥发分含量差异较小时,水分含量越低,燃烧反应越剧烈;在相同条件下,焦煤的燃烧反应强度最高,其次为长焰煤,最后为褐煤;随着甲烷体积分数的增加,煤尘颗粒的燃烧可由释放挥发分的扩散燃烧转变为气相预混燃烧,燃烧反应增强,火焰传播速度和火焰温度显著升高;热辐射和热对流作用促进煤尘颗粒热解,释放挥发分进行燃烧反应,维持复合火焰的持续传播;随着混合体系中甲烷体积分数的增加,混合爆炸机制由粉尘驱动型爆炸转为气体驱动型爆炸,燃烧反应增强;甲烷/煤尘复合爆炸火焰可由未燃区、预热区、气相燃烧区、多相燃烧区和焦炭燃烧区5部分组成,湍流扰动导致燃烧介质空间分布存在差异,使得燃烧区无规则交错分布。


在线阅读
PDF
本文被引