2023年 43卷 第2期
			            2023, 43(2): 022101.
			             
		            	doi: 10.11883/bzycj-2022-0068 
    					
						
			        
						摘要: 
为探究煤油液滴不同初始直径对气液两相旋转爆轰发动机流场的影响,假设初始注入的煤油液滴具有均匀直径,考虑雾化破碎、蒸发等过程,建立了非定常两相爆轰的Eulerian-Lagrangian模型,进行了液态煤油/高温空气爆轰的非预混二维数值模拟。结果表明:在初始液滴直径为1~70 μm的工况范围,燃烧室内均形成了单个稳定传播的旋转爆轰波;全局当量比为1时,爆轰波前的空气区域大于液滴煤油的蒸气区域,导致波前燃料空气混合不均匀,波前均存在富油区和贫油区,两相速度差导致分离出的空气形成低温条带;当煤油液滴的初始直径较小时,波前的反应物混合过程主要受蒸发的影响,爆轰波可稳定传播;当直径减小至1 μm时,煤油液滴在入口处即蒸发,旋转爆轰波表现为气相传播的特性,爆轰波结构平整;当煤油液滴的初始直径较大时,波前的反应物混合过程主要受液滴破碎的影响;对于相同的燃料质量流量,在不同初始煤油液滴直径工况下,煤油液滴最大的停留时间均占爆轰波传播时间尺度的80%以上;爆轰波前燃料预蒸发为气相的占比越高,爆轰波的传播速度越高;初始液滴直径为10~70 μm的工况范围内,爆轰波的速度随初始直径的增大先升高后降低。
			   
			        
			        
			        
				  
				为探究煤油液滴不同初始直径对气液两相旋转爆轰发动机流场的影响,假设初始注入的煤油液滴具有均匀直径,考虑雾化破碎、蒸发等过程,建立了非定常两相爆轰的Eulerian-Lagrangian模型,进行了液态煤油/高温空气爆轰的非预混二维数值模拟。结果表明:在初始液滴直径为1~70 μm的工况范围,燃烧室内均形成了单个稳定传播的旋转爆轰波;全局当量比为1时,爆轰波前的空气区域大于液滴煤油的蒸气区域,导致波前燃料空气混合不均匀,波前均存在富油区和贫油区,两相速度差导致分离出的空气形成低温条带;当煤油液滴的初始直径较小时,波前的反应物混合过程主要受蒸发的影响,爆轰波可稳定传播;当直径减小至1 μm时,煤油液滴在入口处即蒸发,旋转爆轰波表现为气相传播的特性,爆轰波结构平整;当煤油液滴的初始直径较大时,波前的反应物混合过程主要受液滴破碎的影响;对于相同的燃料质量流量,在不同初始煤油液滴直径工况下,煤油液滴最大的停留时间均占爆轰波传播时间尺度的80%以上;爆轰波前燃料预蒸发为气相的占比越高,爆轰波的传播速度越高;初始液滴直径为10~70 μm的工况范围内,爆轰波的速度随初始直径的增大先升高后降低。
			            2023, 43(2): 022301.
			             
		            	doi: 10.11883/bzycj-2022-0188 
    					
						
			        
						摘要: 
针对高海拔或高空的低温、低压环境对炸药爆炸冲击波传播的影响,利用量纲分析理论和AUTODYN有限元软件,研究了低温、低压及海拔高度对炸药爆炸冲击波参量(峰值超压、比冲量和波阵面运动轨迹)的影响规律,建立了相应的计算公式,并通过数值模拟和实验数据进行了对比验证。结果表明,该计算公式可以有效预测低温和低压环境下炸药爆炸冲击波参量。环境压力降低,爆炸冲击波峰值超压和爆炸远场(比例距离Z>0.2 m/kg1/3)比冲量减小,冲击波传播速度增大。环境温度降低,冲击波比冲量增大,传播速度降低,峰值超压影响不大。海拔高度在0~9 000 m范围内,每升高1000 m冲击波峰值超压和爆炸远场比冲量分别平均降低约3.9%和3.2%。海拔升高,爆炸近场冲击波传播速度升高,爆炸远场冲击波传播速度则降低。高海拔环境下低压对冲击波峰值超压和比冲量的影响大于低温,爆炸近场冲击波传播速度取决于低压的影响,爆炸远场冲击波传播速度取决于低温的影响。
			   
			        
			        
			        
				  
				针对高海拔或高空的低温、低压环境对炸药爆炸冲击波传播的影响,利用量纲分析理论和AUTODYN有限元软件,研究了低温、低压及海拔高度对炸药爆炸冲击波参量(峰值超压、比冲量和波阵面运动轨迹)的影响规律,建立了相应的计算公式,并通过数值模拟和实验数据进行了对比验证。结果表明,该计算公式可以有效预测低温和低压环境下炸药爆炸冲击波参量。环境压力降低,爆炸冲击波峰值超压和爆炸远场(比例距离Z>0.2 m/kg1/3)比冲量减小,冲击波传播速度增大。环境温度降低,冲击波比冲量增大,传播速度降低,峰值超压影响不大。海拔高度在0~9 000 m范围内,每升高1000 m冲击波峰值超压和爆炸远场比冲量分别平均降低约3.9%和3.2%。海拔升高,爆炸近场冲击波传播速度升高,爆炸远场冲击波传播速度则降低。高海拔环境下低压对冲击波峰值超压和比冲量的影响大于低温,爆炸近场冲击波传播速度取决于低压的影响,爆炸远场冲击波传播速度取决于低温的影响。
			            2023, 43(2): 023101.
			             
		            	doi: 10.11883/bzycj-2022-0203 
    					
						
			        
						摘要: 
低熔点金属的层裂是目前延性金属动态断裂的基础科学问题之一。采用非平衡态分子动力学方法模拟了冲击压力在13.5~61.0 GPa下单晶和纳米多晶锡的经典层裂和微层裂过程。研究结果表明:在加载阶段,冲击速度不影响单晶模型中的波形演化规律,但影响纳米多晶模型中的波形演化规律,其中经典层裂中晶界滑移是影响应力波前沿宽度的重要因素;在单晶模型中,经典层裂和微层裂中孔洞成核位置位于高势能处;在纳米多晶模型中,经典层裂中的孔洞多在晶界(含三晶界交界处)处成核,并沿晶定向长大,产生沿晶断裂,而微层裂中孔洞在晶界和晶粒内部成核,导致沿晶断裂、晶内断裂和穿晶断裂;孔洞体积分数呈现指数增长,相同冲击速度下单晶和纳米多晶Sn孔洞体积分数变化规律一致;经典层裂中孔洞体积分数曲线的两个转折点分别表示孔洞成核与长大的过渡和材料从损伤到断裂的灾变性转变。
			   
			        
			        
			        
				  
				低熔点金属的层裂是目前延性金属动态断裂的基础科学问题之一。采用非平衡态分子动力学方法模拟了冲击压力在13.5~61.0 GPa下单晶和纳米多晶锡的经典层裂和微层裂过程。研究结果表明:在加载阶段,冲击速度不影响单晶模型中的波形演化规律,但影响纳米多晶模型中的波形演化规律,其中经典层裂中晶界滑移是影响应力波前沿宽度的重要因素;在单晶模型中,经典层裂和微层裂中孔洞成核位置位于高势能处;在纳米多晶模型中,经典层裂中的孔洞多在晶界(含三晶界交界处)处成核,并沿晶定向长大,产生沿晶断裂,而微层裂中孔洞在晶界和晶粒内部成核,导致沿晶断裂、晶内断裂和穿晶断裂;孔洞体积分数呈现指数增长,相同冲击速度下单晶和纳米多晶Sn孔洞体积分数变化规律一致;经典层裂中孔洞体积分数曲线的两个转折点分别表示孔洞成核与长大的过渡和材料从损伤到断裂的灾变性转变。
			            2023, 43(2): 023201.
			             
		            	doi: 10.11883/bzycj-2022-0189 
    					
						
			        
						摘要: 
借鉴局域共振材料的工作机制,通过在混凝土基体中嵌入滤波单元,设计出具有应力波衰减特性的滤波混凝土。通过将滤波混凝土结构简化为质量弹簧力学系统来分析滤波混凝土对应力波的衰减机制。采用数值模拟方法,对比研究了冲击荷载作用下普通混凝土模型和滤波混凝土模型中应力波的传播特性和层裂破坏模式。通过参数分析,研究了滤波单元的材料和几何属性对其储能效果的影响。研究结果表明:滤波单元有效降低了混凝土基体中应力波的传播速度和应力峰值;滤波单元的储能机制有效降低了混凝土基体中的能量;金属球的质量越大,滤波单元的储能效果越好,但弹性层的弹性模量和厚度需要通过适当分析进行设计以实现滤波单元的储能最大化;滤波混凝土基体的局部损伤耗散了荷载中的大量能量,有效降低了结构自由面附近的破坏程度。
			   
			        
			        
			        
				  
				借鉴局域共振材料的工作机制,通过在混凝土基体中嵌入滤波单元,设计出具有应力波衰减特性的滤波混凝土。通过将滤波混凝土结构简化为质量弹簧力学系统来分析滤波混凝土对应力波的衰减机制。采用数值模拟方法,对比研究了冲击荷载作用下普通混凝土模型和滤波混凝土模型中应力波的传播特性和层裂破坏模式。通过参数分析,研究了滤波单元的材料和几何属性对其储能效果的影响。研究结果表明:滤波单元有效降低了混凝土基体中应力波的传播速度和应力峰值;滤波单元的储能机制有效降低了混凝土基体中的能量;金属球的质量越大,滤波单元的储能效果越好,但弹性层的弹性模量和厚度需要通过适当分析进行设计以实现滤波单元的储能最大化;滤波混凝土基体的局部损伤耗散了荷载中的大量能量,有效降低了结构自由面附近的破坏程度。
			            2023, 43(2): 023202.
			             
		            	doi: 10.11883/bzycj-2022-0196 
    					
						
			        
						摘要: 
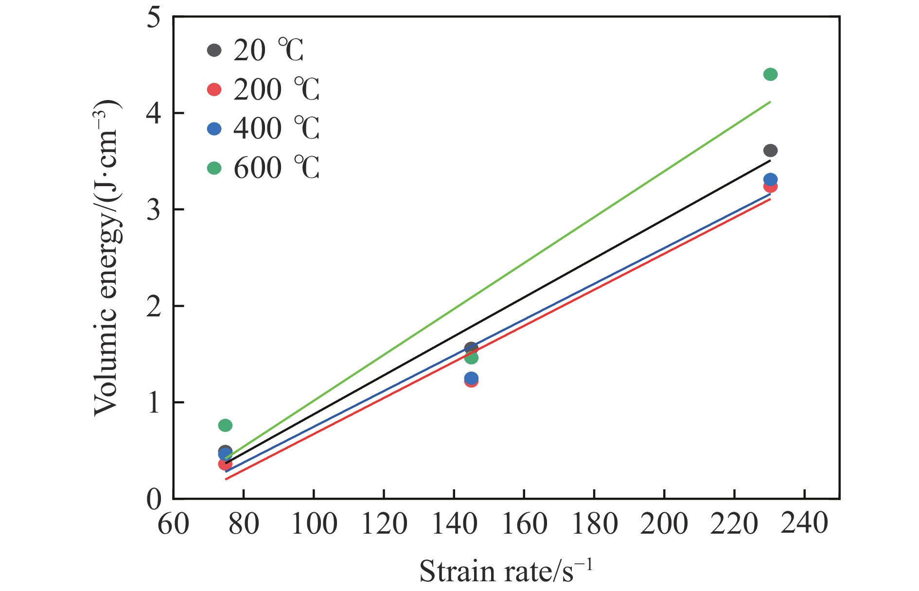
为研究实时高温作用对花岗岩冲击力学特性的影响,以川藏铁路色季拉山施工区域加里东期花岗岩为研究对象,利用分离式霍普金森杆(SHPB)及同步箱式电阻炉,对20~800 ℃实时高温下的花岗岩试件进行冲击压缩试验,分析高温作用及加载应变率对试件破碎特征、动态抗压强度及能量吸收情况的影响,基于粉晶X射线衍射分析矿物成分变化与花岗岩动力学强度的内在关联。研究表明:20~400 ℃高温试件以脆性劈裂破坏为主,碎片形态呈纺锤形,两端尖锐,而600 ℃高温试件以塑性破坏为主,形状趋于圆钝;试件峰值应力随温度升高具有先增大后减小的变化趋势,200 ℃时达到强度阈值,随后持续降低;单位体积岩石耗散能与加载应变率呈线性正相关关系,与温度呈二次函数关系,与峰值应力呈指数关系,拟合效果良好;石英、云母和长石三种主要矿物成分的含量波动、相态变化等因素共同导致花岗岩动力学强度在200 ℃后逐步劣化。
			   
			        
			        
			        
				  
				为研究实时高温作用对花岗岩冲击力学特性的影响,以川藏铁路色季拉山施工区域加里东期花岗岩为研究对象,利用分离式霍普金森杆(SHPB)及同步箱式电阻炉,对20~800 ℃实时高温下的花岗岩试件进行冲击压缩试验,分析高温作用及加载应变率对试件破碎特征、动态抗压强度及能量吸收情况的影响,基于粉晶X射线衍射分析矿物成分变化与花岗岩动力学强度的内在关联。研究表明:20~400 ℃高温试件以脆性劈裂破坏为主,碎片形态呈纺锤形,两端尖锐,而600 ℃高温试件以塑性破坏为主,形状趋于圆钝;试件峰值应力随温度升高具有先增大后减小的变化趋势,200 ℃时达到强度阈值,随后持续降低;单位体积岩石耗散能与加载应变率呈线性正相关关系,与温度呈二次函数关系,与峰值应力呈指数关系,拟合效果良好;石英、云母和长石三种主要矿物成分的含量波动、相态变化等因素共同导致花岗岩动力学强度在200 ℃后逐步劣化。
			            2023, 43(2): 023203.
			             
		            	doi: 10.11883/bzycj-2022-0202 
    					
						
			        
						摘要: 
为提升杀伤战斗部破片轴向飞散的集中度,提高战斗部的轴向杀伤威力,提出使用波形控制器控制破片的飞散方向。基于爆轰波在波形控制器界面发生反射的规律以及Shapiro公式,设计了波形控制器的形状,使用LS-DYNA有限元软件和ALE(arbitrary Lagrange-Euler)算法对破片的飞散过程进行数值计算,结合战斗部原理样机静爆试验,验证了使用波形控制器改善破片飞散特性方法的合理性。对比了有无波形控制器时破片飞散过程的差异,对无波形控制器以及波形控制器材料分别为尼龙、聚氨酯和聚四氟乙烯(polytetrafluoroethylene,PTFE)时杀伤战斗部的破片飞散速度和破片飞散角规律进行了分析。结果表明:波形控制器可以减小战斗部中心和两端位置的破片飞散速度大小差异,使中心到两端位置的破片飞散方向角变化均匀,破片在轴向的分布更加均匀;不同材料的波形控制器对破片飞散特性影响不同,波形控制器的使用减小了破片飞散角,增大了破片分布密度,提升了破片飞散的集中度。破片飞散角数值计算值与试验计算值误差在6.53%之内,与无波形控制器的杀伤战斗部原理样机相比,含波形控制器且材料为尼龙、聚氨酯和PTFE的战斗部原理样机破片飞散角分别减小了40.00%、 44.00%和46.67%。
			   
			        
			        
			        
				  
				为提升杀伤战斗部破片轴向飞散的集中度,提高战斗部的轴向杀伤威力,提出使用波形控制器控制破片的飞散方向。基于爆轰波在波形控制器界面发生反射的规律以及Shapiro公式,设计了波形控制器的形状,使用LS-DYNA有限元软件和ALE(arbitrary Lagrange-Euler)算法对破片的飞散过程进行数值计算,结合战斗部原理样机静爆试验,验证了使用波形控制器改善破片飞散特性方法的合理性。对比了有无波形控制器时破片飞散过程的差异,对无波形控制器以及波形控制器材料分别为尼龙、聚氨酯和聚四氟乙烯(polytetrafluoroethylene,PTFE)时杀伤战斗部的破片飞散速度和破片飞散角规律进行了分析。结果表明:波形控制器可以减小战斗部中心和两端位置的破片飞散速度大小差异,使中心到两端位置的破片飞散方向角变化均匀,破片在轴向的分布更加均匀;不同材料的波形控制器对破片飞散特性影响不同,波形控制器的使用减小了破片飞散角,增大了破片分布密度,提升了破片飞散的集中度。破片飞散角数值计算值与试验计算值误差在6.53%之内,与无波形控制器的杀伤战斗部原理样机相比,含波形控制器且材料为尼龙、聚氨酯和PTFE的战斗部原理样机破片飞散角分别减小了40.00%、 44.00%和46.67%。
			            2023, 43(2): 023301.
			             
		            	doi: 10.11883/bzycj-2022-0435 
    					
						
			        
						摘要: 
为研究高聚物牺牲包层对钢筋混凝土结构的爆炸毁伤缓解效应,开展了带高聚物牺牲包层钢筋混凝土板的接触爆炸试验,同时设置了普通钢筋混凝土板作为对照组,对比分析了高聚物牺牲包层对钢筋混凝土板毁伤特征的影响。此外,运用AUTODYN软件建立了现场爆炸试验的SPH-FEM耦合模型,通过与试验结果的对比,验证了所建耦合模型的可靠性。在此基础上,通过参数敏感性分析,探究了炸药量和高聚物牺牲包层密度、厚度对带高聚物牺牲包层钢筋混凝土板毁伤特性以及吸能特性的影响。结果表明:接触爆炸下,高聚物牺牲包层能够有效地分散爆炸荷载,缓解爆炸荷载对钢筋混凝土板的冲击作用,具有良好的防护性能;药量在一定范围内增大时,高聚物牺牲包层依然能维持较高的吸能水平,增大包层密度和厚度有利于增强高聚物牺牲包层的吸能特性,包层厚度的变化会造成被保护钢筋混凝土板毁伤模式的改变。
			   
			        
			        
			        
				  
				为研究高聚物牺牲包层对钢筋混凝土结构的爆炸毁伤缓解效应,开展了带高聚物牺牲包层钢筋混凝土板的接触爆炸试验,同时设置了普通钢筋混凝土板作为对照组,对比分析了高聚物牺牲包层对钢筋混凝土板毁伤特征的影响。此外,运用AUTODYN软件建立了现场爆炸试验的SPH-FEM耦合模型,通过与试验结果的对比,验证了所建耦合模型的可靠性。在此基础上,通过参数敏感性分析,探究了炸药量和高聚物牺牲包层密度、厚度对带高聚物牺牲包层钢筋混凝土板毁伤特性以及吸能特性的影响。结果表明:接触爆炸下,高聚物牺牲包层能够有效地分散爆炸荷载,缓解爆炸荷载对钢筋混凝土板的冲击作用,具有良好的防护性能;药量在一定范围内增大时,高聚物牺牲包层依然能维持较高的吸能水平,增大包层密度和厚度有利于增强高聚物牺牲包层的吸能特性,包层厚度的变化会造成被保护钢筋混凝土板毁伤模式的改变。
			            2023, 43(2): 023302.
			             
		            	doi: 10.11883/bzycj-2022-0294 
    					
						
			        
						摘要: 
为了满足高侵深和大穿孔的要求,设计一种聚能杆式弹丸(jetting projectile charge, JPC),开展大尺寸钢筋混凝土墙的毁伤效应试验。在此基础上,基于修正参数的K&C(Karagozian & Case)模型进行数值模拟,研究JPC高速侵彻和爆炸冲击波对钢筋混凝土墙的联合破坏作用,分析墙体厚度对破坏效果的影响规律。结果表明,在1.67倍和2.50倍装药直径的炸高条件下,JPC均能够有效贯穿80 cm(6.67倍装药直径)厚的钢筋混凝土墙,形成直径大于6 cm(0.50倍装药直径)的柱状孔洞;聚能装药的多载荷毁伤特性决定了钢筋混凝土墙的破坏结果,爆炸冲击波能够加剧墙体正面开坑和背面崩落的破坏范围;墙体厚度对于墙体正面漏斗坑的直径与深度及内部侵彻孔洞直径均无显著影响;随着墙体厚度增大,背面漏斗坑直径逐渐减小,深度却逐渐增大。
			   
			        
			        
			        
				  
				为了满足高侵深和大穿孔的要求,设计一种聚能杆式弹丸(jetting projectile charge, JPC),开展大尺寸钢筋混凝土墙的毁伤效应试验。在此基础上,基于修正参数的K&C(Karagozian & Case)模型进行数值模拟,研究JPC高速侵彻和爆炸冲击波对钢筋混凝土墙的联合破坏作用,分析墙体厚度对破坏效果的影响规律。结果表明,在1.67倍和2.50倍装药直径的炸高条件下,JPC均能够有效贯穿80 cm(6.67倍装药直径)厚的钢筋混凝土墙,形成直径大于6 cm(0.50倍装药直径)的柱状孔洞;聚能装药的多载荷毁伤特性决定了钢筋混凝土墙的破坏结果,爆炸冲击波能够加剧墙体正面开坑和背面崩落的破坏范围;墙体厚度对于墙体正面漏斗坑的直径与深度及内部侵彻孔洞直径均无显著影响;随着墙体厚度增大,背面漏斗坑直径逐渐减小,深度却逐渐增大。
			            2023, 43(2): 024101.
			             
		            	doi: 10.11883/bzycj-2022-0160 
    					
						
			        
						摘要: 
膨胀环实验技术主要包括爆炸膨胀环实验技术和电磁膨胀环实验技术,实验过程中膨胀环的加载应变率在达到峰值后会随着圆环的膨胀而迅速降低,给研究应变率敏感材料的拉伸碎裂带来极大的不便。在前期提出的液压膨胀环实验技术的基础上,发展了一种恒应变率加载技术。首先,从理论上获得了实现金属圆环恒应变率膨胀所需的液压加载曲线的近似表达式;然后,采用有限元流固耦合数值模拟了液压膨胀环装置中1060-O铝环的膨胀碎裂过程,在给定液压加载曲线下,膨胀环的环向应变率在应变率稳定阶段上下波动范围最大不超过20%;并进一步研究了加载曲线对碎裂过程中应变率的影响规律。在液压膨胀环实验装置上对1060-O 铝环开展了膨胀环实验,验证了恒应变率加载技术的可行性。
			   
			        
			        
			        
				  
				膨胀环实验技术主要包括爆炸膨胀环实验技术和电磁膨胀环实验技术,实验过程中膨胀环的加载应变率在达到峰值后会随着圆环的膨胀而迅速降低,给研究应变率敏感材料的拉伸碎裂带来极大的不便。在前期提出的液压膨胀环实验技术的基础上,发展了一种恒应变率加载技术。首先,从理论上获得了实现金属圆环恒应变率膨胀所需的液压加载曲线的近似表达式;然后,采用有限元流固耦合数值模拟了液压膨胀环装置中1060-O铝环的膨胀碎裂过程,在给定液压加载曲线下,膨胀环的环向应变率在应变率稳定阶段上下波动范围最大不超过20%;并进一步研究了加载曲线对碎裂过程中应变率的影响规律。在液压膨胀环实验装置上对1060-O 铝环开展了膨胀环实验,验证了恒应变率加载技术的可行性。
			            2023, 43(2): 024201.
			             
		            	doi: 10.11883/bzycj-2022-0155 
    					
						
			        
						摘要: 
超高压水射流自驱旋转型喷头是目前广泛应用于船壁除锈的一种装置,其布局方式直接影响船壁除锈的效率和质量,目前喷头布局多依赖工程经验,缺少准确的理论分析和优化技术支持。针对水射流自驱旋转型喷头的布局优化问题,在传统遗传算法(genetic algorithm,GA)的基础上,提出一种基于“锦标赛选择”的精英策略遗传算法(elitist strategy genetic algorithm,ESGA),该算法通过采用种群进化过程中精英个体直接保留到下一代的进化策略,从而有效提高算法的全局收敛能力和算法的鲁棒性。结合旋转喷头扫掠冲击性能和轨迹特征,以喷头移动路径垂直打击面上的能量分布均匀度为衡量标准,建立超高压水射流自驱旋转型喷头的螺旋扫掠冲击离散化时间优化模型,并分别利用两种遗传算法对其进行优化改进。对一字形水射流自驱旋转型喷头的布局优化研究发现,经ESGA算法优化的旋转喷头,其扫掠冲击能量分布均匀度较原喷头布局提升了47.2%,其收敛精度也高于GA算法。经对ESGA算法优化后的喷头实验验证发现,ESGA优化方案较原设计方案除锈效率提高了42.0%。改进的ESGA优化算法可行性强,能够在收敛迭代次数较少的情况下得到水动力性能更好的喷头布局方案,为旋转型喷头布局优化设计提供了理论依据和应用支持。
			   
			        
			        
			        
				  
				超高压水射流自驱旋转型喷头是目前广泛应用于船壁除锈的一种装置,其布局方式直接影响船壁除锈的效率和质量,目前喷头布局多依赖工程经验,缺少准确的理论分析和优化技术支持。针对水射流自驱旋转型喷头的布局优化问题,在传统遗传算法(genetic algorithm,GA)的基础上,提出一种基于“锦标赛选择”的精英策略遗传算法(elitist strategy genetic algorithm,ESGA),该算法通过采用种群进化过程中精英个体直接保留到下一代的进化策略,从而有效提高算法的全局收敛能力和算法的鲁棒性。结合旋转喷头扫掠冲击性能和轨迹特征,以喷头移动路径垂直打击面上的能量分布均匀度为衡量标准,建立超高压水射流自驱旋转型喷头的螺旋扫掠冲击离散化时间优化模型,并分别利用两种遗传算法对其进行优化改进。对一字形水射流自驱旋转型喷头的布局优化研究发现,经ESGA算法优化的旋转喷头,其扫掠冲击能量分布均匀度较原喷头布局提升了47.2%,其收敛精度也高于GA算法。经对ESGA算法优化后的喷头实验验证发现,ESGA优化方案较原设计方案除锈效率提高了42.0%。改进的ESGA优化算法可行性强,能够在收敛迭代次数较少的情况下得到水动力性能更好的喷头布局方案,为旋转型喷头布局优化设计提供了理论依据和应用支持。
			            2023, 43(2): 025201.
			             
		            	doi: 10.11883/bzycj-2022-0081 
    					
						
			        
						摘要: 
为探究聚能张开角对双线型聚能药包结构炸药有效利用率和聚能效应的影响,通过瞬时爆轰假说理论对有效聚能炸药边界方程进行推导,分析不同聚能张开角聚能装药结构炸药的有效利用率;通过水泥砂浆物理模型试验,研究不同聚能张开角预裂孔成缝规律;采用LS-DYNA数值模拟软件,建立不同聚能张开角数值模型,揭示不同聚能张开角的双线型聚能结构药包射流的侵彻过程。研究结果表明聚能张开角为75°时,炸药产生聚能效应的有效利用率最大;聚能结构药包聚能槽张开角为75°时,预裂孔成缝效果明显优于聚能槽张开角为60°的聚能结构药包,沿聚能槽方向应力集中效应和侵彻深度最佳,炮孔壁上岩石单元最先达到应力峰值。针对聚能张开角为75°的双线型聚能结构药包开展了不同岩性预裂爆破现场试验,板岩和白云岩两种不同岩性,在孔距增大20%的条件下,双线型聚能预裂爆破效果优于常规预裂爆破。
			   
			        
			        
			        
				  
				为探究聚能张开角对双线型聚能药包结构炸药有效利用率和聚能效应的影响,通过瞬时爆轰假说理论对有效聚能炸药边界方程进行推导,分析不同聚能张开角聚能装药结构炸药的有效利用率;通过水泥砂浆物理模型试验,研究不同聚能张开角预裂孔成缝规律;采用LS-DYNA数值模拟软件,建立不同聚能张开角数值模型,揭示不同聚能张开角的双线型聚能结构药包射流的侵彻过程。研究结果表明聚能张开角为75°时,炸药产生聚能效应的有效利用率最大;聚能结构药包聚能槽张开角为75°时,预裂孔成缝效果明显优于聚能槽张开角为60°的聚能结构药包,沿聚能槽方向应力集中效应和侵彻深度最佳,炮孔壁上岩石单元最先达到应力峰值。针对聚能张开角为75°的双线型聚能结构药包开展了不同岩性预裂爆破现场试验,板岩和白云岩两种不同岩性,在孔距增大20%的条件下,双线型聚能预裂爆破效果优于常规预裂爆破。
			            2023, 43(2): 025401.
			             
		            	doi: 10.11883/bzycj-2022-0174 
    					
						
			        
						摘要: 
利用自主设计的5.00 m长矩形管道,对氢气体积分数为30%的氢气-空气预混气体进行了不同破膜压力(pv)下的系列燃爆实验,重点研究了pv对管道内外火焰传播行为及爆炸超压的影响。实验结果表明:管道内的火焰传播行为受pv影响显著。在靠近泄爆口的压力传感器所监测的压力-时间曲线上,可以观察到3个压力峰值(pb、pout、pext),分别对应于铝膜破裂、燃烧混合物泄放以及外部爆炸,大多数情况下,pb为最大压力峰值。管道内部最大超压随着pv升高而增大,但最大内部超压出现的位置受pv的影响。管道外部火焰传播行为与pv有关,但不同pv下外部火焰的最大长度无明显差异。最大外部超压与pv之间呈现非单调变化规律。
			   
			        
			        
			        
				  
				利用自主设计的5.00 m长矩形管道,对氢气体积分数为30%的氢气-空气预混气体进行了不同破膜压力(pv)下的系列燃爆实验,重点研究了pv对管道内外火焰传播行为及爆炸超压的影响。实验结果表明:管道内的火焰传播行为受pv影响显著。在靠近泄爆口的压力传感器所监测的压力-时间曲线上,可以观察到3个压力峰值(pb、pout、pext),分别对应于铝膜破裂、燃烧混合物泄放以及外部爆炸,大多数情况下,pb为最大压力峰值。管道内部最大超压随着pv升高而增大,但最大内部超压出现的位置受pv的影响。管道外部火焰传播行为与pv有关,但不同pv下外部火焰的最大长度无明显差异。最大外部超压与pv之间呈现非单调变化规律。
			            2023, 43(2): 025402.
			             
		            	doi: 10.11883/bzycj-2021-0531 
    					
						
			        
						摘要: 
通过自行设计的爆炸管网设备进行实验,提出通过改变泡沫金属迎爆面的结构来增大与爆炸火焰的接触面积,结合爆炸超压、火焰传播速度和火焰温度等参数来评价不同迎爆面设计结构的泡沫金属的阻隔爆性能。结果表明,在相同厚度的前提下,在材料迎爆面增加一定的锯齿形波纹会使整体的阻隔爆性能有所提升,爆炸超压、火焰传播速度和火焰温度的衰减率随着迎爆面锯齿角度的减小而增大。当泡沫金属迎爆面锯齿角度为30°时,爆炸超压、火焰传播速度和火焰温度的衰减率分别为74.0%、76.18%和91.93%,爆炸超压下降速率为30.76 MPa/s,材料后端熄爆参数为17.68 MPa·℃,阻隔爆效果较好。
			   
			        
			        
			        
				  
				通过自行设计的爆炸管网设备进行实验,提出通过改变泡沫金属迎爆面的结构来增大与爆炸火焰的接触面积,结合爆炸超压、火焰传播速度和火焰温度等参数来评价不同迎爆面设计结构的泡沫金属的阻隔爆性能。结果表明,在相同厚度的前提下,在材料迎爆面增加一定的锯齿形波纹会使整体的阻隔爆性能有所提升,爆炸超压、火焰传播速度和火焰温度的衰减率随着迎爆面锯齿角度的减小而增大。当泡沫金属迎爆面锯齿角度为30°时,爆炸超压、火焰传播速度和火焰温度的衰减率分别为74.0%、76.18%和91.93%,爆炸超压下降速率为30.76 MPa/s,材料后端熄爆参数为17.68 MPa·℃,阻隔爆效果较好。

    						
	   			
PDF 
本文被引
在线阅读