2018年 38卷 第3期
2018, 38(3): 473-484.
doi: 10.11883/bzycj-2017-0230
摘要:
作为飞机燃油箱的一种主要损伤模式,水锤效应可能引起油箱结构灾难性的破坏。针对实战环境中多枚破片冲击同一油箱的常见现象,在建立与试验对比一致的单枚破片冲击满水油箱数值模型后,以箱内液体特定单元压力峰值、破片速度衰减、箱内液体吸收的总能量以及油箱壁板变形作为对比参量,分别开展数值模拟,分析其在2枚破片不同间距打击、2枚破片不同时间间隔打击以及多枚破片同时打击时的水锤效应。结果表明:箱内液体的压力峰值来源于破片入水后形成的冲击波,多枚破片入射时液体压力有明显的叠加效应;2枚破片不同时入射将导致先入射破片剩余速度增高;油箱壁板的变形随入射破片数量的增加显著增大。
作为飞机燃油箱的一种主要损伤模式,水锤效应可能引起油箱结构灾难性的破坏。针对实战环境中多枚破片冲击同一油箱的常见现象,在建立与试验对比一致的单枚破片冲击满水油箱数值模型后,以箱内液体特定单元压力峰值、破片速度衰减、箱内液体吸收的总能量以及油箱壁板变形作为对比参量,分别开展数值模拟,分析其在2枚破片不同间距打击、2枚破片不同时间间隔打击以及多枚破片同时打击时的水锤效应。结果表明:箱内液体的压力峰值来源于破片入水后形成的冲击波,多枚破片入射时液体压力有明显的叠加效应;2枚破片不同时入射将导致先入射破片剩余速度增高;油箱壁板的变形随入射破片数量的增加显著增大。
2018, 38(3): 485-490.
doi: 10.11883/bzycj-2017-0379
摘要:
为了解TATB基JB-9014炸药的爆轰过程,利用火炮驱动飞片加载,采用光子多普勒测速技术,对JB-9014炸药的爆轰反应区结构进行了实验研究。实验中利用火炮发射高速蓝宝石飞片冲击起爆被测炸药,在炸药后表面安装镀膜氟化锂(LiF)窗口测量炸药爆轰时的界面粒子速度,测试过程的时间分辨率小于2 ns。将粒子速度剖面对时间进行一阶求导,通过一阶导数的拐点来确定炸药反应区宽度、反应时间。研究结果表明,钝感炸药JB-9014的反应时间为(0.26±0.02)μs,对应的化学反应区宽度为(1.5±0.2)mm,反应结束点处的压力为27.3 GPa,von Neumann峰处压力为40.3 GPa。
为了解TATB基JB-9014炸药的爆轰过程,利用火炮驱动飞片加载,采用光子多普勒测速技术,对JB-9014炸药的爆轰反应区结构进行了实验研究。实验中利用火炮发射高速蓝宝石飞片冲击起爆被测炸药,在炸药后表面安装镀膜氟化锂(LiF)窗口测量炸药爆轰时的界面粒子速度,测试过程的时间分辨率小于2 ns。将粒子速度剖面对时间进行一阶求导,通过一阶导数的拐点来确定炸药反应区宽度、反应时间。研究结果表明,钝感炸药JB-9014的反应时间为(0.26±0.02)μs,对应的化学反应区宽度为(1.5±0.2)mm,反应结束点处的压力为27.3 GPa,von Neumann峰处压力为40.3 GPa。
2018, 38(3): 491-500.
doi: 10.11883/bzycj-2017-0255
摘要:
针对含预制裂纹L形梁柱试件,为研究预制裂纹动态扩展的力学特征及其对梁柱试件破坏模式的影响,采用数字动态焦散线实验系统,对距节点核心区不同距离l处含有预制裂纹的试件进行落锤冲击实验,得到预制裂纹的扩展轨迹、速度、动态应力强度因子的变化规律。结果表明,l值增大,扩展裂纹在梁下边缘的贯通点与预制裂纹的夹角逐渐增大,曲裂程度变大。裂纹扩展速度随着l的增大振荡性增强,裂纹扩展平均速度逐渐降低。l值为2 mm时,裂尖表现为Ⅰ型断裂,l值增大,裂尖受到剪应力作用增强,Ⅰ型动态应力强度因子减小,Ⅱ型动态应力强度因子增大,断裂逐渐转变为Ⅰ-Ⅱ复合型。
针对含预制裂纹L形梁柱试件,为研究预制裂纹动态扩展的力学特征及其对梁柱试件破坏模式的影响,采用数字动态焦散线实验系统,对距节点核心区不同距离l处含有预制裂纹的试件进行落锤冲击实验,得到预制裂纹的扩展轨迹、速度、动态应力强度因子的变化规律。结果表明,l值增大,扩展裂纹在梁下边缘的贯通点与预制裂纹的夹角逐渐增大,曲裂程度变大。裂纹扩展速度随着l的增大振荡性增强,裂纹扩展平均速度逐渐降低。l值为2 mm时,裂尖表现为Ⅰ型断裂,l值增大,裂尖受到剪应力作用增强,Ⅰ型动态应力强度因子减小,Ⅱ型动态应力强度因子增大,断裂逐渐转变为Ⅰ-Ⅱ复合型。
2018, 38(3): 501-508.
doi: 10.11883/bzycj-2016-0272
摘要:
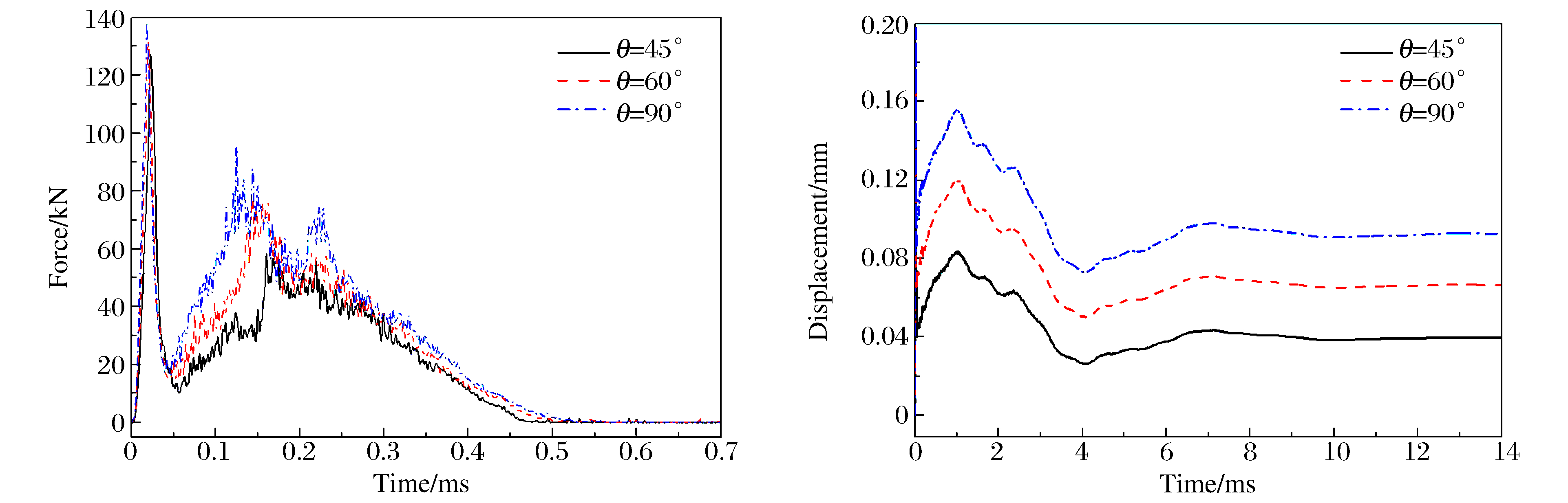
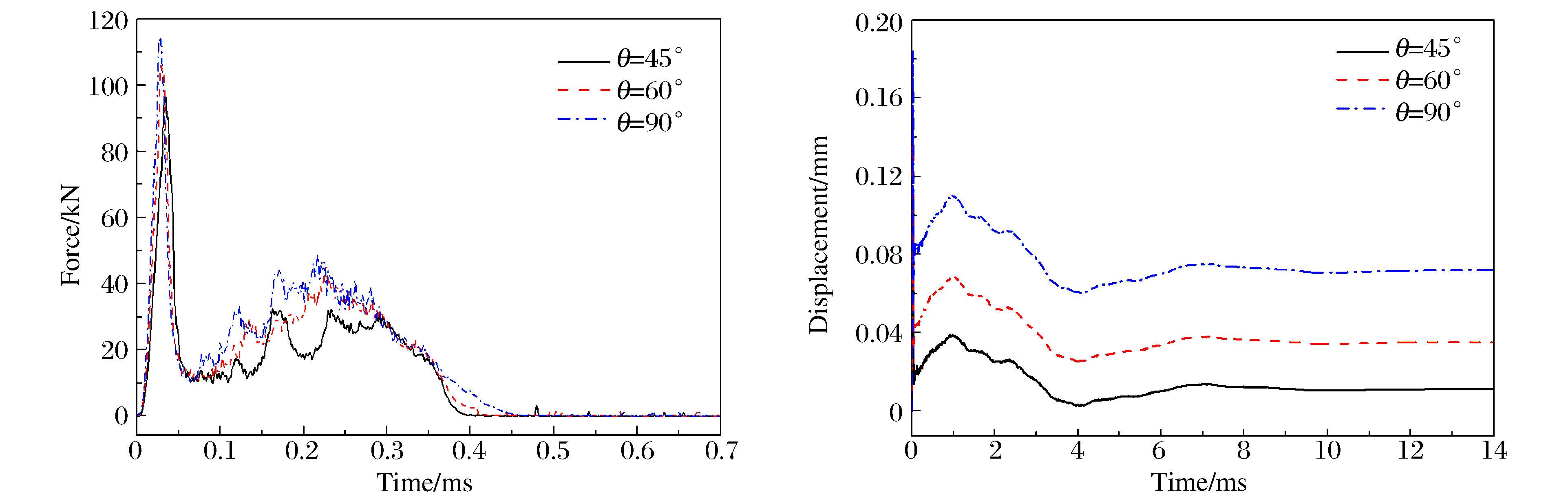
针对三点起爆控制参数(起爆直径、起爆同步误差)对尾翼爆炸成型弹丸(explosively formed projectile,EFP)成型的影响问题,理论分析了三点起爆条件下爆轰波的马赫碰撞,计算获得了不同起爆直径下马赫波的相关参数,利用LS-DYNA有限元软件通过数值模拟研究了不同起爆直径下三点起爆同步误差对EFP尾翼成型及飞行速度的影响规律。结果表明,起爆直径越大,马赫波在药型罩上的作用面积越小,马赫超压越大,形成的EFP长径比和速度越大;起爆直径为30、40、50 mm三点起爆成型装药形成较佳尾翼EFP应满足的最大起爆同步误差分别为50、100、150 ns;此外,尽量使中间起爆点起爆同步误差约为最大同步误差的一半,有利于降低尾翼EFP的侧向分速度,提高飞行稳定性。
针对三点起爆控制参数(起爆直径、起爆同步误差)对尾翼爆炸成型弹丸(explosively formed projectile,EFP)成型的影响问题,理论分析了三点起爆条件下爆轰波的马赫碰撞,计算获得了不同起爆直径下马赫波的相关参数,利用LS-DYNA有限元软件通过数值模拟研究了不同起爆直径下三点起爆同步误差对EFP尾翼成型及飞行速度的影响规律。结果表明,起爆直径越大,马赫波在药型罩上的作用面积越小,马赫超压越大,形成的EFP长径比和速度越大;起爆直径为30、40、50 mm三点起爆成型装药形成较佳尾翼EFP应满足的最大起爆同步误差分别为50、100、150 ns;此外,尽量使中间起爆点起爆同步误差约为最大同步误差的一半,有利于降低尾翼EFP的侧向分速度,提高飞行稳定性。
2018, 38(3): 509-516.
doi: 10.11883/bzycj-2017-0251
摘要:
短时的爆炸瞬态冲击信号,具有冲击频带宽、幅值高特点,在测试过程中,常常会有信号失真的零漂现象。本文中详细分析零漂现象产生的原因,对比各种修正方法的优缺点,提出基于经验模态分解(empirical mode decomposition,EMD)改进高效算法,结合频域窗函数滤波方法,这种新修正方法,能够较好弥补现行修正方法的缺陷,可为瞬态冲击信号时域模拟提供失真较小的环境条件数据。
短时的爆炸瞬态冲击信号,具有冲击频带宽、幅值高特点,在测试过程中,常常会有信号失真的零漂现象。本文中详细分析零漂现象产生的原因,对比各种修正方法的优缺点,提出基于经验模态分解(empirical mode decomposition,EMD)改进高效算法,结合频域窗函数滤波方法,这种新修正方法,能够较好弥补现行修正方法的缺陷,可为瞬态冲击信号时域模拟提供失真较小的环境条件数据。
2018, 38(3): 517-524.
doi: 10.11883/bzycj-2017-0361
摘要:
本文中提出单轴双向加载分离式霍普金森压杆(bidirectional-load split Hopkinson compression bar,BSHCB),即在传统的分离式霍普金森压杆(split Hopkinson pressure bar,SHPB)的基础上增加另一个对称的入射波,两边的入射波同时且对称地对试样进行动态加载。根据一维应力波传播理论,推导出单轴双向加载分离式霍普金森杆的数据处理公式。通过数值模拟分析发现,所推导的数据处理公式可以用于计算单轴双向加载实验中试样的工程应力、工程应变和工程应变率。此外,单轴双向对称加载不仅可缩短试样内部应力均匀化的过程,而且可以提高试样应变率。
本文中提出单轴双向加载分离式霍普金森压杆(bidirectional-load split Hopkinson compression bar,BSHCB),即在传统的分离式霍普金森压杆(split Hopkinson pressure bar,SHPB)的基础上增加另一个对称的入射波,两边的入射波同时且对称地对试样进行动态加载。根据一维应力波传播理论,推导出单轴双向加载分离式霍普金森杆的数据处理公式。通过数值模拟分析发现,所推导的数据处理公式可以用于计算单轴双向加载实验中试样的工程应力、工程应变和工程应变率。此外,单轴双向对称加载不仅可缩短试样内部应力均匀化的过程,而且可以提高试样应变率。
2018, 38(3): 525-533.
doi: 10.11883/bzycj-2016-0269
摘要:
以实验结合数值模拟与理论分析的方法,研究韦伯数在2 100~2 700区间内,不同组合流动参数对液滴破碎初期变形的影响与作用机制。实验中通过高速摄影捕捉到一系列具有明显差异的液滴变形模态,表明在相近韦伯数下液滴的初期变形仍受到气流速度、密度等具体流动参数的显著影响。以刚性球体替代液滴进行外流数值模拟,利用球体表面气动力分布推算出的液滴表面变形趋势与实际变形形态吻合,表明液滴的初期变形特征与外流流动分离和涡特征具有一致性。对流场和理论变形数据的分析显示,流动分离发展阶段和稳定阶段对液滴作用力以及它们所诱导的液滴变形特征存在很大差异;分离发展与液滴变形过程的特征时间之比可由气液密度比的平方根表示,它决定了液滴早期变形的基本形态。分离发展阶段所占时间比例越高,即实验中气液密度比越高,则液滴更倾向于发展出单个显著的环形突起,反之则趋于形成多个相对均衡的突起。
以实验结合数值模拟与理论分析的方法,研究韦伯数在2 100~2 700区间内,不同组合流动参数对液滴破碎初期变形的影响与作用机制。实验中通过高速摄影捕捉到一系列具有明显差异的液滴变形模态,表明在相近韦伯数下液滴的初期变形仍受到气流速度、密度等具体流动参数的显著影响。以刚性球体替代液滴进行外流数值模拟,利用球体表面气动力分布推算出的液滴表面变形趋势与实际变形形态吻合,表明液滴的初期变形特征与外流流动分离和涡特征具有一致性。对流场和理论变形数据的分析显示,流动分离发展阶段和稳定阶段对液滴作用力以及它们所诱导的液滴变形特征存在很大差异;分离发展与液滴变形过程的特征时间之比可由气液密度比的平方根表示,它决定了液滴早期变形的基本形态。分离发展阶段所占时间比例越高,即实验中气液密度比越高,则液滴更倾向于发展出单个显著的环形突起,反之则趋于形成多个相对均衡的突起。
2018, 38(3): 534-540.
doi: 10.11883/bzycj-2016-0291
摘要:
为研究3种柴油燃料装入76 L标准小型货车油箱在明火烤燃下的燃爆特性,利用摄像机、高速照相机、红外热成像仪、热电偶以及电子秤分别记录并测量了油箱的烤燃过程及其产生的喷射火焰表面最高温度、火焰尺寸、油箱内外部温度变化、油料蒸发速率等参数。结果表明:相同烤燃条件下,-10#柴油油箱发生剧烈燃烧和爆炸,防火柴油与阻燃抑爆柴油油箱出现了喷射火焰。防火柴油油箱喷射火焰最高温度、火焰高度、内部蒸气温度和油液温度平均升温速率比-10#柴油分别降低31.39%、75.34%、39.05%和57.32%;阻燃抑爆柴油油箱喷射火焰最高温度、火焰高度、油料质量蒸发速率、内部蒸气温度和油液温度平均升温速率比防火柴油分别降低24.67%、61.11%、14.29%、7.54%和7.54%;阻燃抑爆柴油在抑制火焰温度上升、火球尺寸增长以及降低质量蒸发速率上效果更明显。
为研究3种柴油燃料装入76 L标准小型货车油箱在明火烤燃下的燃爆特性,利用摄像机、高速照相机、红外热成像仪、热电偶以及电子秤分别记录并测量了油箱的烤燃过程及其产生的喷射火焰表面最高温度、火焰尺寸、油箱内外部温度变化、油料蒸发速率等参数。结果表明:相同烤燃条件下,-10#柴油油箱发生剧烈燃烧和爆炸,防火柴油与阻燃抑爆柴油油箱出现了喷射火焰。防火柴油油箱喷射火焰最高温度、火焰高度、内部蒸气温度和油液温度平均升温速率比-10#柴油分别降低31.39%、75.34%、39.05%和57.32%;阻燃抑爆柴油油箱喷射火焰最高温度、火焰高度、油料质量蒸发速率、内部蒸气温度和油液温度平均升温速率比防火柴油分别降低24.67%、61.11%、14.29%、7.54%和7.54%;阻燃抑爆柴油在抑制火焰温度上升、火球尺寸增长以及降低质量蒸发速率上效果更明显。
2018, 38(3): 541-548.
doi: 10.11883/bzycj-2016-0262
摘要:
为了对油气在持续热壁下热着火发生过程进行数值模拟,耦合化学动力学模型、流体动力学模型及辐射传热模型,建立了油气热着火的统一模型。基于实验工况,模拟了受限空间中油气在持续热壁条件下热着火发生过程,并分析了温度、压力流场的演变特征,以及不同位置处温度、压力、层流速度、湍流速度和组分质量分数的变化曲线。通过模拟,发现油气热着火过程存在3个阶段,分别为加热初始阶段、加热中间阶段和热着火发生阶段。不同阶段存在的主要原因是化学反应和流动的主导作用不同。
为了对油气在持续热壁下热着火发生过程进行数值模拟,耦合化学动力学模型、流体动力学模型及辐射传热模型,建立了油气热着火的统一模型。基于实验工况,模拟了受限空间中油气在持续热壁条件下热着火发生过程,并分析了温度、压力流场的演变特征,以及不同位置处温度、压力、层流速度、湍流速度和组分质量分数的变化曲线。通过模拟,发现油气热着火过程存在3个阶段,分别为加热初始阶段、加热中间阶段和热着火发生阶段。不同阶段存在的主要原因是化学反应和流动的主导作用不同。
2018, 38(3): 549-554.
doi: 10.11883/bzycj-2016-0318
摘要:
采用二维不定常流理论中的极曲线方法,对冲击波进入楔形受试炸药/LiF窗口界面的冲击波波后流场状态进行理论分析,同时采用流体动力学软件LS-DYNA对模型的波后流场状态进行数值模拟。结果表明,对于所研究的模型,一维平面正冲击波进入楔形受试炸药/LiF窗口界面时,由于斜激波的存在,波后粒子运动方向发生偏转,偏转角为3.3°。数值模拟结果表明,在相同模型条件下,冲击波波后粒子偏转角在2.77°~3.03°之间。二者的差异源于极曲线理论中未考虑稀疏波的影响。
采用二维不定常流理论中的极曲线方法,对冲击波进入楔形受试炸药/LiF窗口界面的冲击波波后流场状态进行理论分析,同时采用流体动力学软件LS-DYNA对模型的波后流场状态进行数值模拟。结果表明,对于所研究的模型,一维平面正冲击波进入楔形受试炸药/LiF窗口界面时,由于斜激波的存在,波后粒子运动方向发生偏转,偏转角为3.3°。数值模拟结果表明,在相同模型条件下,冲击波波后粒子偏转角在2.77°~3.03°之间。二者的差异源于极曲线理论中未考虑稀疏波的影响。
2018, 38(3): 555-562.
doi: 10.11883/bzycj-2016-0149
摘要:
为探究双相介质弹性半空间内椭圆弹性夹杂对透射SH波的散射问题,主要采用Green函数法、复变函数法、保角映射法和极坐标移动技术。首先,引入复变量并在复平面上运用保角映射的方法将椭圆边界映射为单位圆边界;然后,将双相介质沿垂直边界剖开分成两个四分之一空间,在剖分面上作用附加力系使SH波在垂直边界上满足位移和应力连续的条件,并构造四分之一空间内点源荷载作用下的Green函数位移场;进而,利用"契合"的思想在垂直边界上建立定解积分方程组,并利用SH波衰减的性质进行有限项截断来求解未知附加力系。最后,通过具体算例得出在不同参数情况下椭圆夹杂周边动应力集中因子分布情况。结果得知,SH波的入射角度和频率以及介质的性质对夹杂周边动应力集中分布有一定影响。
为探究双相介质弹性半空间内椭圆弹性夹杂对透射SH波的散射问题,主要采用Green函数法、复变函数法、保角映射法和极坐标移动技术。首先,引入复变量并在复平面上运用保角映射的方法将椭圆边界映射为单位圆边界;然后,将双相介质沿垂直边界剖开分成两个四分之一空间,在剖分面上作用附加力系使SH波在垂直边界上满足位移和应力连续的条件,并构造四分之一空间内点源荷载作用下的Green函数位移场;进而,利用"契合"的思想在垂直边界上建立定解积分方程组,并利用SH波衰减的性质进行有限项截断来求解未知附加力系。最后,通过具体算例得出在不同参数情况下椭圆夹杂周边动应力集中因子分布情况。结果得知,SH波的入射角度和频率以及介质的性质对夹杂周边动应力集中分布有一定影响。
2018, 38(3): 563-571.
doi: 10.11883/bzycj-2016-0275
摘要:
运用FLAC3D软件建立了顺层台阶边坡数值模型,首先分析爆破振动作用下边坡的振速响应规律,然后通过边坡的位移、剪应变增量分析其稳定性,最后根据边坡稳定性判据,制定爆破振速安全阈值。研究表明,随着爆心距的增大,振速传播规律为近处衰减快、远处衰减慢,坡面存在高程放大效应,临空面中由于软弱夹层的阻隔影响,使得坡脚的振速最大;边坡的变形破坏受软弱夹层控制,其上覆岩体为潜在滑体,破裂面可以根据水平位移云图和塑性区分布图综合确定;边坡的破坏是一个渐进性的累积过程,位移和剪应变的累积会导致岩体的力学参数不断弱化,爆破振动劣化作用后仍有较大安全储备的边坡只会累积产生永久位移,而接近极限平衡状态的边坡将会失稳;当岩层倾角为15°~23°时,边坡振速安全阀值为21 cm/s;当软弱夹层剪出口距离坡顶高度为14 m,倾角分别为24°、29°、31°、34°时,安全阀值分别为10、8、6、5 cm/s。
运用FLAC3D软件建立了顺层台阶边坡数值模型,首先分析爆破振动作用下边坡的振速响应规律,然后通过边坡的位移、剪应变增量分析其稳定性,最后根据边坡稳定性判据,制定爆破振速安全阈值。研究表明,随着爆心距的增大,振速传播规律为近处衰减快、远处衰减慢,坡面存在高程放大效应,临空面中由于软弱夹层的阻隔影响,使得坡脚的振速最大;边坡的变形破坏受软弱夹层控制,其上覆岩体为潜在滑体,破裂面可以根据水平位移云图和塑性区分布图综合确定;边坡的破坏是一个渐进性的累积过程,位移和剪应变的累积会导致岩体的力学参数不断弱化,爆破振动劣化作用后仍有较大安全储备的边坡只会累积产生永久位移,而接近极限平衡状态的边坡将会失稳;当岩层倾角为15°~23°时,边坡振速安全阀值为21 cm/s;当软弱夹层剪出口距离坡顶高度为14 m,倾角分别为24°、29°、31°、34°时,安全阀值分别为10、8、6、5 cm/s。
2018, 38(3): 572-578.
doi: 10.11883/bzycj-2016-0280
摘要:
针对压电式高压传感器等的幅值灵敏度脉冲压力校准中的量值溯源问题,将一种基于牛顿第二定律的液体脉冲压力激光干涉测量方法用于落锤式液体高脉冲压力校准装置。通过质量块的动力学建模以及激光干涉测量质量块的加速度,得到脉冲压力幅值大小,使脉冲压力幅值能溯源到时间、长度与质量等基本量。通过对压力和加速度分布不均、摩擦力等影响进行理论与实验分析,压电式压力传感器幅值灵敏度校准不确定度得到了完整评估。激光干涉法液体脉冲压力校准装置压力幅值覆盖(10~500)MPa,扩展不确定度在1.8%以内。
针对压电式高压传感器等的幅值灵敏度脉冲压力校准中的量值溯源问题,将一种基于牛顿第二定律的液体脉冲压力激光干涉测量方法用于落锤式液体高脉冲压力校准装置。通过质量块的动力学建模以及激光干涉测量质量块的加速度,得到脉冲压力幅值大小,使脉冲压力幅值能溯源到时间、长度与质量等基本量。通过对压力和加速度分布不均、摩擦力等影响进行理论与实验分析,压电式压力传感器幅值灵敏度校准不确定度得到了完整评估。激光干涉法液体脉冲压力校准装置压力幅值覆盖(10~500)MPa,扩展不确定度在1.8%以内。
2018, 38(3): 579-585.
doi: 10.11883/bzycj-2016-0245
摘要:
借助压力测试系统,在自由场及地面布置压力传感器,分别测量了熔铸TNT、一次云爆药剂和二次云爆药剂在自由场和地面的爆炸场冲击波超压,经分析处理后拟合得到适用于3种炸药的自由场和空中爆炸超压发展公式,并计算云爆药剂的TNT当量。实验结果表明:实验选用的二次云爆药剂的自由场和地面平均TNT当量相比一次云爆药剂分别提高了60%和69%,说明二次云爆药剂比一次云爆药剂具有更大的超压作用效果;3种药剂的自由场超压峰值都比地面小10%左右,说明地面的反射效应依旧存在,在实际超压威力评估时应采用一定的修正系数。实验结果可丰富云爆药剂和传统炸药的小当量实验对比数据,为云爆药剂爆炸场参数的研究和威力评估提供参考。
借助压力测试系统,在自由场及地面布置压力传感器,分别测量了熔铸TNT、一次云爆药剂和二次云爆药剂在自由场和地面的爆炸场冲击波超压,经分析处理后拟合得到适用于3种炸药的自由场和空中爆炸超压发展公式,并计算云爆药剂的TNT当量。实验结果表明:实验选用的二次云爆药剂的自由场和地面平均TNT当量相比一次云爆药剂分别提高了60%和69%,说明二次云爆药剂比一次云爆药剂具有更大的超压作用效果;3种药剂的自由场超压峰值都比地面小10%左右,说明地面的反射效应依旧存在,在实际超压威力评估时应采用一定的修正系数。实验结果可丰富云爆药剂和传统炸药的小当量实验对比数据,为云爆药剂爆炸场参数的研究和威力评估提供参考。
2018, 38(3): 586-595.
doi: 10.11883/bzycj-2016-0266
摘要:
采用INSTRON准静态压缩试验机和分离式霍普金森压杆装置,研究固溶态AM80镁合金在室温准静态和冲击载荷下的变形行为及组织演变。准静态载荷下,流变应力随应变率(3×10-5~4×10-1 s-1)的升高逐渐降低,表现为负应变率敏感性;冲击载荷下,流变应力随应变率(7.00×102~5.20×103 s-1)的升高而升高,呈现出明显的正应变率敏感性。冲击载荷下AM80镁合金的变形机制以基面滑移和孪生为主,大量细小致密的形变孪生以及适量非基面滑移的启动是AM80镁合金在冲击载荷下流变应力明显高于准静态载荷的重要原因。此外,随应变率的升高,AM80镁合金变形的均匀性明显增强,当应变速率升至3.65×103 s-1时,冲击变形所引起的局部绝热温升软化大于应变硬化与应变速率硬化的总和,部分晶粒产生了明显的动态回复,使得孪晶密度和变形均匀性反而降低。
采用INSTRON准静态压缩试验机和分离式霍普金森压杆装置,研究固溶态AM80镁合金在室温准静态和冲击载荷下的变形行为及组织演变。准静态载荷下,流变应力随应变率(3×10-5~4×10-1 s-1)的升高逐渐降低,表现为负应变率敏感性;冲击载荷下,流变应力随应变率(7.00×102~5.20×103 s-1)的升高而升高,呈现出明显的正应变率敏感性。冲击载荷下AM80镁合金的变形机制以基面滑移和孪生为主,大量细小致密的形变孪生以及适量非基面滑移的启动是AM80镁合金在冲击载荷下流变应力明显高于准静态载荷的重要原因。此外,随应变率的升高,AM80镁合金变形的均匀性明显增强,当应变速率升至3.65×103 s-1时,冲击变形所引起的局部绝热温升软化大于应变硬化与应变速率硬化的总和,部分晶粒产生了明显的动态回复,使得孪晶密度和变形均匀性反而降低。
2018, 38(3): 596-602.
doi: 10.11883/bzycj-2016-0286
摘要:
采用万能材料试验机和分离式霍普金森拉杆(SHTB)装置,对我国钢结构建筑中最常用的Q235B钢进行准静态拉伸实验、高温拉伸实验和动态拉伸实验。基于实验数据对LS-DYNA常用的3种动态材料模型Cowper-Symonds本构模型、Johnson-Cook本构模型、Zerilli-Armstrong本构模型进行了拟合,通过Taylor杆实验对3种本构模型进行验证和对比分析。结果表明:Q235B钢具有较为明显的高温软化和应变率强化效应;Cowper-Symonds本构模型可以较好地适用于工程领域低速碰撞的模拟;Johnson-Cook本构模型可适用于较大应变率范围内的模拟;不推荐Zerilli-Armstrong本构模型在工程低速碰撞领域中使用。
采用万能材料试验机和分离式霍普金森拉杆(SHTB)装置,对我国钢结构建筑中最常用的Q235B钢进行准静态拉伸实验、高温拉伸实验和动态拉伸实验。基于实验数据对LS-DYNA常用的3种动态材料模型Cowper-Symonds本构模型、Johnson-Cook本构模型、Zerilli-Armstrong本构模型进行了拟合,通过Taylor杆实验对3种本构模型进行验证和对比分析。结果表明:Q235B钢具有较为明显的高温软化和应变率强化效应;Cowper-Symonds本构模型可以较好地适用于工程领域低速碰撞的模拟;Johnson-Cook本构模型可适用于较大应变率范围内的模拟;不推荐Zerilli-Armstrong本构模型在工程低速碰撞领域中使用。
2018, 38(3): 603-615.
doi: 10.11883/bzycj-2016-0265
摘要:
基于非线性有限元软件LS-DYNA及其提供的SPH(smoothed particle hydrodynamics)算法,建立了高速铁路车轴遭受道砟撞击的计算分析模型,考察了不同撞击速度、道砟形状和尺寸,以及撞击角度工况下车轴的动态响应。给出了撞击力和车轴受撞击处变形的响应特征,分析了车轴最大残余变形与撞击力峰值之间的关系,探讨了不同工况下车轴的撞击损伤规律。结果表明,撞击力峰值和车轴变形(包括瞬态变形和残余变形)均随着撞击速度、道砟直径和撞击角度的增大而增大,车轴最大残余变形与撞击力峰值呈近似线性增大关系,车轴的量纲一压痕深度(残余变形)与吸收冲击能平方根成线性关系。
基于非线性有限元软件LS-DYNA及其提供的SPH(smoothed particle hydrodynamics)算法,建立了高速铁路车轴遭受道砟撞击的计算分析模型,考察了不同撞击速度、道砟形状和尺寸,以及撞击角度工况下车轴的动态响应。给出了撞击力和车轴受撞击处变形的响应特征,分析了车轴最大残余变形与撞击力峰值之间的关系,探讨了不同工况下车轴的撞击损伤规律。结果表明,撞击力峰值和车轴变形(包括瞬态变形和残余变形)均随着撞击速度、道砟直径和撞击角度的增大而增大,车轴最大残余变形与撞击力峰值呈近似线性增大关系,车轴的量纲一压痕深度(残余变形)与吸收冲击能平方根成线性关系。
2018, 38(3): 616-621.
doi: 10.11883/bzycj-2016-0263
摘要:
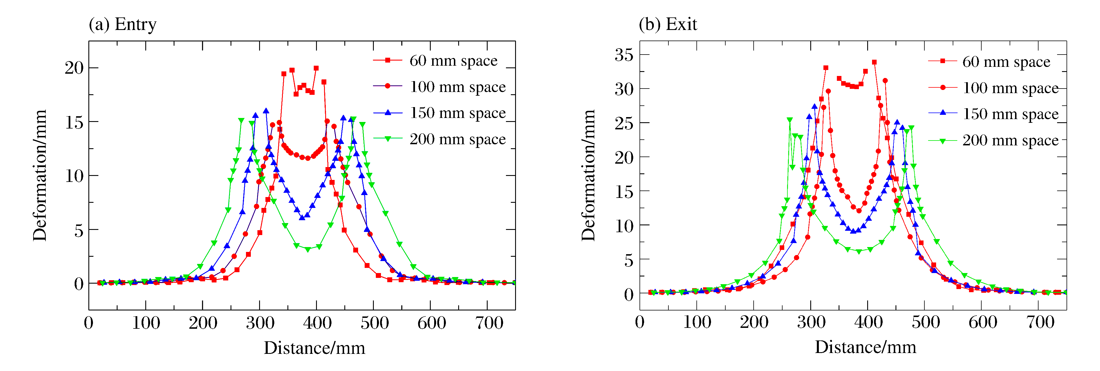
为进一步提高周向多爆炸成型侵彻体战斗部的毁伤效能,结合数值模拟方法,设计了一种爆炸成型杆式侵彻体战斗部。基于复合装药的爆轰加载控制方式,使得药型罩成型为密实的杆式侵彻体,通过调整半预制药型罩的斜置角度,对毁伤元的旋转速度施加控制,进而提高其空中飞行姿态的稳定性,提高毁伤元的毁伤威力。对不同斜置角度的战斗部原理样机进行了静爆实验,实验结果与模拟结果的对比表明,半预制药型罩斜置角度为1.5°时,爆炸成型杆式侵彻体的着靶姿态最好,对45钢靶板侵彻深度最大。通过药型罩斜置,在保证杆式侵彻体成型质量的同时,可以有效提高侵彻体的侵彻威力。
为进一步提高周向多爆炸成型侵彻体战斗部的毁伤效能,结合数值模拟方法,设计了一种爆炸成型杆式侵彻体战斗部。基于复合装药的爆轰加载控制方式,使得药型罩成型为密实的杆式侵彻体,通过调整半预制药型罩的斜置角度,对毁伤元的旋转速度施加控制,进而提高其空中飞行姿态的稳定性,提高毁伤元的毁伤威力。对不同斜置角度的战斗部原理样机进行了静爆实验,实验结果与模拟结果的对比表明,半预制药型罩斜置角度为1.5°时,爆炸成型杆式侵彻体的着靶姿态最好,对45钢靶板侵彻深度最大。通过药型罩斜置,在保证杆式侵彻体成型质量的同时,可以有效提高侵彻体的侵彻威力。
2018, 38(3): 622-631.
doi: 10.11883/bzycj-2016-0309
摘要:
基于流体动力学软件Fluent,开展数值模拟,研究点火位置(距管左端壁面100、200和500 mm)、点火温度(1 000、1 500和2 000 K)和点火面积(管左端壁面处半径为50、35和20 mm的点火域)等点火条件对1 000 mm密闭管道中预混氢气/空气(H2/air)燃爆特性的影响。研究表明:点火位置距管左端壁面越远,中间节点处温度越高,温升越快;不同点火温度下管内最高温升速率基本同步,且提高点火温度,使得燃烧反应更剧烈,能提高管内气体温升速率,但却降低管内的压力峰值;点火面积越小,预混H2/air燃烧前期温升越快。当采用半径为35 mm的点火域和点火位置距管左端壁面100 mm的点火方式时,预混H2/air燃爆的各项参数相对较高。不同点火条件对密闭管内气体的动能和内能的影响规律类似于其对管内气体的流速和温度的影响规律,而对涡量的影响不明显。
基于流体动力学软件Fluent,开展数值模拟,研究点火位置(距管左端壁面100、200和500 mm)、点火温度(1 000、1 500和2 000 K)和点火面积(管左端壁面处半径为50、35和20 mm的点火域)等点火条件对1 000 mm密闭管道中预混氢气/空气(H2/air)燃爆特性的影响。研究表明:点火位置距管左端壁面越远,中间节点处温度越高,温升越快;不同点火温度下管内最高温升速率基本同步,且提高点火温度,使得燃烧反应更剧烈,能提高管内气体温升速率,但却降低管内的压力峰值;点火面积越小,预混H2/air燃烧前期温升越快。当采用半径为35 mm的点火域和点火位置距管左端壁面100 mm的点火方式时,预混H2/air燃爆的各项参数相对较高。不同点火条件对密闭管内气体的动能和内能的影响规律类似于其对管内气体的流速和温度的影响规律,而对涡量的影响不明显。
2018, 38(3): 632-638.
doi: 10.11883/bzycj-2016-0293
摘要:
为了研究冲击波作用下引信传爆装置的响应规律,进行了以主发炸药为RDX-8701、被发装置为聚奥-9C(JO-9C)装药的传爆管(含导爆药柱)的殉爆实验。通过观测残留传爆药、壳体和见证块变形,判断传爆管的爆炸程度,分析了殉爆过程中JO-9C爆轰波的成长历程及传播规律。采用AUTODYN软件建立了殉爆实验有限元模型,计算模型中主要考虑了主发炸药产生的爆炸冲击波对传爆管的冲击响应。基于流固耦合方法,通过调整距离模拟计算得到了传爆管的临界殉爆距离和殉爆安全距离。结果表明,传爆管上端的侧角受到爆炸冲击后产生的爆轰波沿斜下方传播,使传爆药柱完全爆轰,并引起导爆药柱发生殉爆;数值模拟结果显示,JO-9C装药的传爆管临界殉爆距离为5.7 mm,殉爆安全距离为8.8 mm。
为了研究冲击波作用下引信传爆装置的响应规律,进行了以主发炸药为RDX-8701、被发装置为聚奥-9C(JO-9C)装药的传爆管(含导爆药柱)的殉爆实验。通过观测残留传爆药、壳体和见证块变形,判断传爆管的爆炸程度,分析了殉爆过程中JO-9C爆轰波的成长历程及传播规律。采用AUTODYN软件建立了殉爆实验有限元模型,计算模型中主要考虑了主发炸药产生的爆炸冲击波对传爆管的冲击响应。基于流固耦合方法,通过调整距离模拟计算得到了传爆管的临界殉爆距离和殉爆安全距离。结果表明,传爆管上端的侧角受到爆炸冲击后产生的爆轰波沿斜下方传播,使传爆药柱完全爆轰,并引起导爆药柱发生殉爆;数值模拟结果显示,JO-9C装药的传爆管临界殉爆距离为5.7 mm,殉爆安全距离为8.8 mm。
2018, 38(3): 639-646.
doi: 10.11883/bzycj-2016-0295
摘要:
首先,利用几何关系与介质中超压、位移衰减公式得出结构表面自由场荷载和位移的分布形式,并对衰减因数、爆距等参数进行讨论;其次,利用MSSI(modified soil-structure interaction)相互作用模型对拱的振动方程进行正交求解,得到任意角度荷载作用下的结构弹性动力响应解析解。基于动力响应解析解,得到了土体的声阻抗对结构位移、速度、加速度时程响应曲线的影响。研究结果表明:侧向爆炸荷载作用下,岩土介质声阻抗越大,埋设其中的地下结构的位移、速度和加速度变化越大。为此,建议地下防护结构应修建在声阻抗小的岩土介质中。
首先,利用几何关系与介质中超压、位移衰减公式得出结构表面自由场荷载和位移的分布形式,并对衰减因数、爆距等参数进行讨论;其次,利用MSSI(modified soil-structure interaction)相互作用模型对拱的振动方程进行正交求解,得到任意角度荷载作用下的结构弹性动力响应解析解。基于动力响应解析解,得到了土体的声阻抗对结构位移、速度、加速度时程响应曲线的影响。研究结果表明:侧向爆炸荷载作用下,岩土介质声阻抗越大,埋设其中的地下结构的位移、速度和加速度变化越大。为此,建议地下防护结构应修建在声阻抗小的岩土介质中。
2018, 38(3): 647-653.
doi: 10.11883/bzycj-2016-0289
摘要:
为了研究碳纤维复合材料板(CFRPs)在斜侵彻下的抗弹性能,利用一级轻气炮对碳纤维复合材料板进行了70~280 m/s速度范围的0°、30°和45°的侵彻贯穿实验,通过高速摄影技术测量了弹体速度和弹道轨迹。分析了冲击角度对弹道极限、能量吸收和弹道偏转的影响。结果表明:在冲击能量较低时,靶板在正冲击下的能量吸收率比斜冲击高,而当冲击能量较高时则恰好相反;此外,由于弹体穿过层合板的穿透长度随着冲击角度的增加而增加,弹道极限随着冲击角度的增加而增加;而冲击角度对弹道偏转的影响则随着冲击速度的变化而变化。
为了研究碳纤维复合材料板(CFRPs)在斜侵彻下的抗弹性能,利用一级轻气炮对碳纤维复合材料板进行了70~280 m/s速度范围的0°、30°和45°的侵彻贯穿实验,通过高速摄影技术测量了弹体速度和弹道轨迹。分析了冲击角度对弹道极限、能量吸收和弹道偏转的影响。结果表明:在冲击能量较低时,靶板在正冲击下的能量吸收率比斜冲击高,而当冲击能量较高时则恰好相反;此外,由于弹体穿过层合板的穿透长度随着冲击角度的增加而增加,弹道极限随着冲击角度的增加而增加;而冲击角度对弹道偏转的影响则随着冲击速度的变化而变化。
2018, 38(3): 654-658.
doi: 10.11883/bzycj-2016-0308
摘要:
针对应变率敏感材料冲击实验的指导需求,给出了一种传统相似理论的修正方法。该方法在已有的动态相似理论基础上,考虑了因实验时模型与全尺寸原型制造材料不同,而导致外载条件相似系数对应变率效应对结果造成的影响:通过引入Cowper-Symonds方程,重新推导了外载条件相似系数的计算公式,并对两种不同材料(是否应变率敏感)的缩放模型冲击实验结果进行讨论,表明该方法相较于传统理论能够准确给出外载条件相似系数、提高模型预测精度。
针对应变率敏感材料冲击实验的指导需求,给出了一种传统相似理论的修正方法。该方法在已有的动态相似理论基础上,考虑了因实验时模型与全尺寸原型制造材料不同,而导致外载条件相似系数对应变率效应对结果造成的影响:通过引入Cowper-Symonds方程,重新推导了外载条件相似系数的计算公式,并对两种不同材料(是否应变率敏感)的缩放模型冲击实验结果进行讨论,表明该方法相较于传统理论能够准确给出外载条件相似系数、提高模型预测精度。
2018, 38(3): 659-664.
doi: 10.11883/bzycj-2016-0279
摘要:
基于应力瞬时断裂判据和Tuler-Butcher损伤累积判据,分析了没有升压的简单三角波强加载下延性金属的多次层裂破坏问题。分析结果显示:层裂片的厚度随着冲击波宽度与强度的比值的增大而增大,材料的破坏深度小于冲击波宽度的一半;在强冲击加载下,材料的破坏深度约为冲击波宽度的一半。
基于应力瞬时断裂判据和Tuler-Butcher损伤累积判据,分析了没有升压的简单三角波强加载下延性金属的多次层裂破坏问题。分析结果显示:层裂片的厚度随着冲击波宽度与强度的比值的增大而增大,材料的破坏深度小于冲击波宽度的一半;在强冲击加载下,材料的破坏深度约为冲击波宽度的一半。
2018, 38(3): 665-670.
doi: 10.11883/bzycj-2016-0310
摘要:
利用50 mm杆径的霍普金森压杆装置对完整和预制缺陷花岗岩试样进行层裂破坏实验,并采用高速摄像仪记录了试件层裂破坏的全过程。通过理论分析,计算了半正弦波加载情况下完整杆可能的初始层裂位置。高速摄影结果显示,预制缺陷对初始层裂位置具有一定影响,层裂一般发生在预制缺陷处。结合PFC2D(particle flow code in two dimensions)数值模拟进一步发现,初始层裂位置受到预制缺陷和反射拉伸波上升沿的影响,反射拉伸波上升沿越长,初始层裂越可能发生在预制缺陷处,反射拉伸波上升沿越短,初始层裂位置发生在预制缺陷处的可能性则相对越小。
利用50 mm杆径的霍普金森压杆装置对完整和预制缺陷花岗岩试样进行层裂破坏实验,并采用高速摄像仪记录了试件层裂破坏的全过程。通过理论分析,计算了半正弦波加载情况下完整杆可能的初始层裂位置。高速摄影结果显示,预制缺陷对初始层裂位置具有一定影响,层裂一般发生在预制缺陷处。结合PFC2D(particle flow code in two dimensions)数值模拟进一步发现,初始层裂位置受到预制缺陷和反射拉伸波上升沿的影响,反射拉伸波上升沿越长,初始层裂越可能发生在预制缺陷处,反射拉伸波上升沿越短,初始层裂位置发生在预制缺陷处的可能性则相对越小。
2018, 38(3): 671-676.
doi: 10.11883/bzycj-2016-0300
摘要:
借助ANSYS/LS-DYNA程序,采用Lagrange方法描述钢化玻璃,引入侵蚀算法来模拟钢化玻璃的破坏,对爆炸冲击波载荷进行合理的简化,选取最大伸长线应变理论作为单层钢化玻璃破坏准则。利用建立的模型对爆炸冲击波对单层钢化玻璃的作用过程进行了数值模拟。通过反复调试和大量计算得到单层钢化玻璃破坏的应变阈值为0.002 2,并用场地实验结果对数值结果进行了验证,证明此结果是合理的。
借助ANSYS/LS-DYNA程序,采用Lagrange方法描述钢化玻璃,引入侵蚀算法来模拟钢化玻璃的破坏,对爆炸冲击波载荷进行合理的简化,选取最大伸长线应变理论作为单层钢化玻璃破坏准则。利用建立的模型对爆炸冲击波对单层钢化玻璃的作用过程进行了数值模拟。通过反复调试和大量计算得到单层钢化玻璃破坏的应变阈值为0.002 2,并用场地实验结果对数值结果进行了验证,证明此结果是合理的。
2018, 38(3): 677-682.
doi: 10.11883/bzycj-2016-0282
摘要:
加速度传感器测试弹体加速度历程时,测试结果包含由于目标阻碍导致弹体减速的过载加速度和弹体结构振动引起的加速度。通过将弹体简化为均匀的长直圆杆,从理论上分析弹体纵向振动的频率特性。利用ANSYS建立了弹体有限元模型,通过模态分析得到了弹体纵向振动对应的固有频率及固有振型,并对弹体进行谐响应分析,一阶纵向振动固有频率的理论值、模态分析与谐响应分析的模拟结果都在1 200 Hz。利用Fourier变换和小波分析,对加速度传感器测试数据的频率特性进行了分析,Fourier变换得到的信号功率谱峰值在1 114 Hz,与理论计算结果、模拟结果都能较好吻合。
加速度传感器测试弹体加速度历程时,测试结果包含由于目标阻碍导致弹体减速的过载加速度和弹体结构振动引起的加速度。通过将弹体简化为均匀的长直圆杆,从理论上分析弹体纵向振动的频率特性。利用ANSYS建立了弹体有限元模型,通过模态分析得到了弹体纵向振动对应的固有频率及固有振型,并对弹体进行谐响应分析,一阶纵向振动固有频率的理论值、模态分析与谐响应分析的模拟结果都在1 200 Hz。利用Fourier变换和小波分析,对加速度传感器测试数据的频率特性进行了分析,Fourier变换得到的信号功率谱峰值在1 114 Hz,与理论计算结果、模拟结果都能较好吻合。
2018, 38(3): 683-687.
doi: 10.11883/bzycj-2016-0302
摘要:
基于组合脉冲压裂物理过程,以三种燃速火药柱串联、中心管同步点燃方式,结合火药爆燃加载、压挡液柱运动、射孔孔眼泄流、裂缝起裂、高压气体裂缝内流动及裂缝扩展等子模型,组建多级爆燃压裂耦合模拟模型。并据此分析不同配比火药组合爆燃压裂时,井底压力变化及裂缝延伸情况。结果表明:不同燃速火药串联组合可实现一级火药快速爆燃,瞬间达到多方向射孔孔眼起裂压力,二、三级火药持续长时间燃烧维持高压以充分延伸裂缝的目的;在确定一级快速火药和总火药用量后,井底爆燃压力加载速率和各方向破裂压力均随第三级燃速火药质量比重的增加而呈现降低趋势,但变化不明显;而不同方向裂缝最终延伸长度对二、三级燃速火药的配比具有较强敏感性;在以多方向裂缝安全起裂为目标、设定一级燃速火药后,合理配比三种火药比单一配比高-中速、高-低速火药,可更有效地延长爆燃压裂过程的井底有效持压时间,从而可大幅扩展火药用量上限,提高爆燃压裂裂缝延伸规模。
基于组合脉冲压裂物理过程,以三种燃速火药柱串联、中心管同步点燃方式,结合火药爆燃加载、压挡液柱运动、射孔孔眼泄流、裂缝起裂、高压气体裂缝内流动及裂缝扩展等子模型,组建多级爆燃压裂耦合模拟模型。并据此分析不同配比火药组合爆燃压裂时,井底压力变化及裂缝延伸情况。结果表明:不同燃速火药串联组合可实现一级火药快速爆燃,瞬间达到多方向射孔孔眼起裂压力,二、三级火药持续长时间燃烧维持高压以充分延伸裂缝的目的;在确定一级快速火药和总火药用量后,井底爆燃压力加载速率和各方向破裂压力均随第三级燃速火药质量比重的增加而呈现降低趋势,但变化不明显;而不同方向裂缝最终延伸长度对二、三级燃速火药的配比具有较强敏感性;在以多方向裂缝安全起裂为目标、设定一级燃速火药后,合理配比三种火药比单一配比高-中速、高-低速火药,可更有效地延长爆燃压裂过程的井底有效持压时间,从而可大幅扩展火药用量上限,提高爆燃压裂裂缝延伸规模。
2018, 38(3): 688-695.
doi: 10.11883/bzycj-2016-0133
摘要:
采用磁流体方程和有限差分法,对内爆过程中高能量密度状态下的磁场对带电粒子和压缩过程的作用机制进行研究。结果显示:内爆过程中的各项参数为电子离子温度(50 keV)、压强(1 TPa)、粒子数密度(1024 cm-3)。套筒材料对约束时间、点火条件有重要影响;同时当磁感应强度大于5 T时,电子热传导系数比无磁场时减小2个数量级,离子热传导系数也出现了明显下降,在压缩峰值处,磁感应强度超过5 T时α粒子能量沉积密度比磁感应强度为0和1 T时相对增加约200倍。磁化在一定程度上也会阻碍内爆压缩过程。
采用磁流体方程和有限差分法,对内爆过程中高能量密度状态下的磁场对带电粒子和压缩过程的作用机制进行研究。结果显示:内爆过程中的各项参数为电子离子温度(50 keV)、压强(1 TPa)、粒子数密度(1024 cm-3)。套筒材料对约束时间、点火条件有重要影响;同时当磁感应强度大于5 T时,电子热传导系数比无磁场时减小2个数量级,离子热传导系数也出现了明显下降,在压缩峰值处,磁感应强度超过5 T时α粒子能量沉积密度比磁感应强度为0和1 T时相对增加约200倍。磁化在一定程度上也会阻碍内爆压缩过程。
2018, 38(3): 696-706.
doi: 10.11883/bzycj-2016-0303
摘要:
为了提高舰艇的碰撞防护能力,已发展了各种舰艇碰撞防护方法。传统的碰撞防护手段会使舰艇重量大幅增加,影响舰艇总体性能。复合材料夹层结构的出现给舰艇碰撞防护结构设计提供了另外一条途径,成为近期国内外相关研究的热点。本文以舰艇碰撞防护为背景,从复合材料夹层结构的低速冲击实验方法、变形损伤机理、冲击吸能影响因素、分析研究方法等几方面进行回顾、总结和归纳,并对今后的研究方向进行展望。
为了提高舰艇的碰撞防护能力,已发展了各种舰艇碰撞防护方法。传统的碰撞防护手段会使舰艇重量大幅增加,影响舰艇总体性能。复合材料夹层结构的出现给舰艇碰撞防护结构设计提供了另外一条途径,成为近期国内外相关研究的热点。本文以舰艇碰撞防护为背景,从复合材料夹层结构的低速冲击实验方法、变形损伤机理、冲击吸能影响因素、分析研究方法等几方面进行回顾、总结和归纳,并对今后的研究方向进行展望。


在线阅读
PDF
本文被引