2021年 41卷 第8期
			            2021, 41(8): 082101.
			             
		            	doi: 10.11883/bzycj-2020-0349 
    					
						
			        
						摘要: 
铝粉反应模型是对悬浮铝粉尘气-固两相爆轰进行数值模拟研究的关键。通过考虑铝粉燃烧产物氧化铝(Al2O3)在高温下的分解吸热反应,改进了铝粉的扩散燃烧模型。将该模型嵌入到三维的气-固两相爆轰数值计算程序中,分别对铝粉/空气混合物以及铝粉/氧气混合物的爆轰进行了数值模拟,计算得到的稳定爆轰波速度与实验结果、文献值均吻合较好,误差小于5.5%,表明改进的铝粉反应模型适用于不同氧化气体氛围中铝粉尘爆轰的模拟计算。此外,对两相爆轰参数及爆轰流场的物理量分布进行分析,获得了铝粉反应模型对爆轰波结构的影响规律。
			   
			        
			        
			        
				  
				铝粉反应模型是对悬浮铝粉尘气-固两相爆轰进行数值模拟研究的关键。通过考虑铝粉燃烧产物氧化铝(Al2O3)在高温下的分解吸热反应,改进了铝粉的扩散燃烧模型。将该模型嵌入到三维的气-固两相爆轰数值计算程序中,分别对铝粉/空气混合物以及铝粉/氧气混合物的爆轰进行了数值模拟,计算得到的稳定爆轰波速度与实验结果、文献值均吻合较好,误差小于5.5%,表明改进的铝粉反应模型适用于不同氧化气体氛围中铝粉尘爆轰的模拟计算。此外,对两相爆轰参数及爆轰流场的物理量分布进行分析,获得了铝粉反应模型对爆轰波结构的影响规律。
			            2021, 41(8): 082301.
			             
		            	doi: 10.11883/bzycj-2020-0350 
    					
						
			        
						摘要: 
为了研究含RDX四组元HTPB固体推进剂的冲击起爆行为和在低温条件下的适应性,在常温和低温条件下,对该固体推进剂进行了冲击加载拉氏分析实验。采用锰铜压力计测量了推进剂中不同位置处的压力变化历程,采用电离探针测量了固体推进剂的爆速。分析了固体推进剂的爆轰成长规律,获得了推进剂的临界起爆压力、爆速、爆压和爆轰成长距离等爆轰特征参量。通过对比不同条件下的特征参量发现,低温对固体推进剂的冲击起爆特性影响较小。此外,还对固体推进剂的冲击起爆过程进行了数值模拟,标定了固体推进剂点火增长模型的反应速率方程参数和推进剂的未反应JWL状态方程参数。
			   
			        
			        
			        
				  
				为了研究含RDX四组元HTPB固体推进剂的冲击起爆行为和在低温条件下的适应性,在常温和低温条件下,对该固体推进剂进行了冲击加载拉氏分析实验。采用锰铜压力计测量了推进剂中不同位置处的压力变化历程,采用电离探针测量了固体推进剂的爆速。分析了固体推进剂的爆轰成长规律,获得了推进剂的临界起爆压力、爆速、爆压和爆轰成长距离等爆轰特征参量。通过对比不同条件下的特征参量发现,低温对固体推进剂的冲击起爆特性影响较小。此外,还对固体推进剂的冲击起爆过程进行了数值模拟,标定了固体推进剂点火增长模型的反应速率方程参数和推进剂的未反应JWL状态方程参数。
			            2021, 41(8): 083101.
			             
		            	doi: 10.11883/bzycj-2021-0029 
    					
						
			        
						摘要: 
采用新型Ⅱ型动态断裂测试技术,对高强钢40Cr在高加载速率下的Ⅱ型动态断裂特性进行了测试研究。基于新设计的Ⅱ型动态断裂试样和分离式霍普金森压杆(split Hopkinson pressure bar, SHPB)技术,通过实验-数值方法确定了裂尖在加载过程中的应力强度因子曲线。采用应变片法确定了试样的起裂时间,最终得到40Cr的Ⅱ型动态断裂韧性值,并对其加载速率相关性和材料的失效机理进行了研究。结果表明,在1.08~5.53 TPa·m1/2/s的加载速率范围内,40Cr的Ⅱ型动态断裂韧性基本表现为与加载速率成正相关的变化趋势。通过对试样断口形貌的分析,确定了材料的失效模式及机理,发现随着加载速率的增加,存在拉伸型失效向绝热剪切型失效模式转变的现象。
			   
			        
			        
			        
				  
				采用新型Ⅱ型动态断裂测试技术,对高强钢40Cr在高加载速率下的Ⅱ型动态断裂特性进行了测试研究。基于新设计的Ⅱ型动态断裂试样和分离式霍普金森压杆(split Hopkinson pressure bar, SHPB)技术,通过实验-数值方法确定了裂尖在加载过程中的应力强度因子曲线。采用应变片法确定了试样的起裂时间,最终得到40Cr的Ⅱ型动态断裂韧性值,并对其加载速率相关性和材料的失效机理进行了研究。结果表明,在1.08~5.53 TPa·m1/2/s的加载速率范围内,40Cr的Ⅱ型动态断裂韧性基本表现为与加载速率成正相关的变化趋势。通过对试样断口形貌的分析,确定了材料的失效模式及机理,发现随着加载速率的增加,存在拉伸型失效向绝热剪切型失效模式转变的现象。
			            2021, 41(8): 083102.
			             
		            	doi: 10.11883/bzycj-2020-0275 
    					
						
			        
						摘要: 
为提高薄壁夹层结构耐撞性,以虾螯为仿生原型,设计梯度分布的仿生波纹形夹层结构,包括单层、双层和三层波纹结构。以初始峰值载荷Fp、比吸能Es为耐撞性指标,利用有限元法分析了单元高宽比γ(γ1、γ2和γ3分别为单元第1层、第2层和第3层的高宽比)对波纹夹层结构耐撞性的影响,采用多目标粒子群优化方法得到了夹层结构最优参数。结果表明,单层波纹结构耐撞性随单元高宽比γ的增大逐渐变差,双层波纹结构下层结构单元高宽比γ对耐撞性的影响大于上层结构单元高宽比γ对耐撞性的影响,较小的γ值有利于提高三层波纹结构的比吸能。结构优化结果表明:单层结构最优尺寸γ1为0.8;双层结构最优尺寸为γ1 = 0.5和γ2 = 1.2;三层结构最优组合为γ1 = 0.6,γ2 = 0.6和γ3 = 0.9。上述结果可为薄壁夹层结构轻量化设计提供新思路。
			   
			        
			        
			        
				  
				为提高薄壁夹层结构耐撞性,以虾螯为仿生原型,设计梯度分布的仿生波纹形夹层结构,包括单层、双层和三层波纹结构。以初始峰值载荷Fp、比吸能Es为耐撞性指标,利用有限元法分析了单元高宽比γ(γ1、γ2和γ3分别为单元第1层、第2层和第3层的高宽比)对波纹夹层结构耐撞性的影响,采用多目标粒子群优化方法得到了夹层结构最优参数。结果表明,单层波纹结构耐撞性随单元高宽比γ的增大逐渐变差,双层波纹结构下层结构单元高宽比γ对耐撞性的影响大于上层结构单元高宽比γ对耐撞性的影响,较小的γ值有利于提高三层波纹结构的比吸能。结构优化结果表明:单层结构最优尺寸γ1为0.8;双层结构最优尺寸为γ1 = 0.5和γ2 = 1.2;三层结构最优组合为γ1 = 0.6,γ2 = 0.6和γ3 = 0.9。上述结果可为薄壁夹层结构轻量化设计提供新思路。
			            2021, 41(8): 083103.
			             
		            	doi: 10.11883/bzycj-2020-0262 
    					
						
			        
						摘要: 
针对传统蜂窝共面和异面承载能力差距太大的问题,提出了胞壁弓字形弯折蜂窝、层间组合蜂窝和折叠蜂窝等3种新型蜂窝,建立了新型蜂窝的有限元模型并分析了其变形模式和承载能力。结果表明,在相对密度一致的前提下,与传统正六边形蜂窝相比,这3种新构型蜂窝均缩小了共面和异面方向承载能力的差距。其中胞壁弓字形弯折蜂窝的共面/异面承载比提高了21.3倍;层间组合蜂窝两个共面方向承载能力悬殊,承载能力更强的共面方向与异面的承载比值提高了42倍;折叠蜂窝则提高了21.3倍。研究结果可以为抗多向冲击载荷作用下的蜂窝结构设计提供新思路和参考。
			   
			        
			        
			        
				  
				针对传统蜂窝共面和异面承载能力差距太大的问题,提出了胞壁弓字形弯折蜂窝、层间组合蜂窝和折叠蜂窝等3种新型蜂窝,建立了新型蜂窝的有限元模型并分析了其变形模式和承载能力。结果表明,在相对密度一致的前提下,与传统正六边形蜂窝相比,这3种新构型蜂窝均缩小了共面和异面方向承载能力的差距。其中胞壁弓字形弯折蜂窝的共面/异面承载比提高了21.3倍;层间组合蜂窝两个共面方向承载能力悬殊,承载能力更强的共面方向与异面的承载比值提高了42倍;折叠蜂窝则提高了21.3倍。研究结果可以为抗多向冲击载荷作用下的蜂窝结构设计提供新思路和参考。
			            2021, 41(8): 083104.
			             
		            	doi: 10.11883/bzycj-2020-0392 
    					
						
			        
						摘要: 
金属蜂窝夹层结构是一种新型的舰船防护结构,在舰船防护领域具有广阔的应用前景,但目前缺乏对其在实际水下爆炸载荷作用下动态响应的研究。为研究金属蜂窝夹层结构在水下爆炸载荷作用下的动态响应及防护性能,设计并制备了背板加筋蜂窝夹层结构样件以及相应的浮箱,在大型露天水池中进行了水下实爆 实验;通过声固耦合算法对结构响应进行模拟,实验结果与模拟结果吻合良好,随后分析了蜂窝夹层板的变形过程及能量吸收特性,量化了载荷参数(冲击因子)及结构参数(前后面板厚度比和芯体相对密度)对结构动态响应的影响;最后,以蜂窝夹层板的面密度和后面板中心点最大变形的无量纲量为目标函数,使用NSGA-Ⅱ遗传算法对结构进行了多目标优化,得到对应的Pareto前沿。结果表明,随着冲击因子的增大,蜂窝夹层板整体变形显著增大,蜂窝芯体始终是主要的吸能构件,但其吸能占比逐渐降低;随着前后面板厚度比或芯体相对密度的增加,蜂窝夹层结构的最大变形呈现先降低后升高的趋势,同时呈现不同的变形模式,芯体相对密度对结构变形的影响更为显著;对蜂窝夹层结构开展多目标优化可有效降低结构的面密度及最大变形,优化结果可为蜂窝夹层结构的设计选型提供参考。
			   
			        
			        
			        
				  
				金属蜂窝夹层结构是一种新型的舰船防护结构,在舰船防护领域具有广阔的应用前景,但目前缺乏对其在实际水下爆炸载荷作用下动态响应的研究。为研究金属蜂窝夹层结构在水下爆炸载荷作用下的动态响应及防护性能,设计并制备了背板加筋蜂窝夹层结构样件以及相应的浮箱,在大型露天水池中进行了水下实爆 实验;通过声固耦合算法对结构响应进行模拟,实验结果与模拟结果吻合良好,随后分析了蜂窝夹层板的变形过程及能量吸收特性,量化了载荷参数(冲击因子)及结构参数(前后面板厚度比和芯体相对密度)对结构动态响应的影响;最后,以蜂窝夹层板的面密度和后面板中心点最大变形的无量纲量为目标函数,使用NSGA-Ⅱ遗传算法对结构进行了多目标优化,得到对应的Pareto前沿。结果表明,随着冲击因子的增大,蜂窝夹层板整体变形显著增大,蜂窝芯体始终是主要的吸能构件,但其吸能占比逐渐降低;随着前后面板厚度比或芯体相对密度的增加,蜂窝夹层结构的最大变形呈现先降低后升高的趋势,同时呈现不同的变形模式,芯体相对密度对结构变形的影响更为显著;对蜂窝夹层结构开展多目标优化可有效降低结构的面密度及最大变形,优化结果可为蜂窝夹层结构的设计选型提供参考。
			            2021, 41(8): 083105.
			             
		            	doi: 10.11883/bzycj-2021-0062 
    					
						
			        
						摘要: 
空腔和裂纹缺陷通常共存于深部地下岩体中,它们共同影响着岩体的结构安全性与稳定性。为了探究动力扰动载荷下圆形空腔对裂隙岩体内裂纹扩展行为的影响规律,提出了不同圆孔倾角的直裂纹空腔圆弧开口试件(circular opening specimen with straight crack cavity, COSSCC),利用自制大型落锤冲击实验装置进行动态加载实验,同时采用裂纹扩展计系统测试了裂纹的动态起裂时刻与裂纹扩展速度等各种断裂力学参数,随后采用有限差分软件Autodyn进行裂纹扩展路径与圆孔周围应力场的数值分析,并采用有限元软件Abaqus计算裂纹的动态起裂韧度与裂纹扩展过程中的动态扩展韧度。结果表明:(1)当圆孔倾角θ小于10°时,裂纹扩展路径会偏折并穿过圆孔表面;当圆孔倾角θ为20°与30°时,裂纹扩展路径向圆孔方向发生偏折但不会穿过圆孔,圆孔具有明显的裂纹扩展引导作用; 当圆孔倾角θ为40°与50°时,裂纹扩展路径不会发生偏折,圆孔引导作用明显减弱。(2)当裂纹扩展路径达到圆孔空腔附近时,裂纹尖端的拉伸应力区与圆孔边缘的拉伸应力区发生重合,此时裂纹扩展速度显著增大,裂纹动态断裂韧度显著减小。(3)裂纹的偏折方向与裂纹尖端最大周向应力的方向基本一致。(4)裂纹动态断裂韧度始终小于裂纹起裂韧度,且裂纹动态断裂韧度与裂纹动态扩展速度呈负相关关系。裂纹动态扩展速度越大,裂纹动态断裂韧度越小。
			   
			        
			        
			        
				  
				空腔和裂纹缺陷通常共存于深部地下岩体中,它们共同影响着岩体的结构安全性与稳定性。为了探究动力扰动载荷下圆形空腔对裂隙岩体内裂纹扩展行为的影响规律,提出了不同圆孔倾角的直裂纹空腔圆弧开口试件(circular opening specimen with straight crack cavity, COSSCC),利用自制大型落锤冲击实验装置进行动态加载实验,同时采用裂纹扩展计系统测试了裂纹的动态起裂时刻与裂纹扩展速度等各种断裂力学参数,随后采用有限差分软件Autodyn进行裂纹扩展路径与圆孔周围应力场的数值分析,并采用有限元软件Abaqus计算裂纹的动态起裂韧度与裂纹扩展过程中的动态扩展韧度。结果表明:(1)当圆孔倾角θ小于10°时,裂纹扩展路径会偏折并穿过圆孔表面;当圆孔倾角θ为20°与30°时,裂纹扩展路径向圆孔方向发生偏折但不会穿过圆孔,圆孔具有明显的裂纹扩展引导作用; 当圆孔倾角θ为40°与50°时,裂纹扩展路径不会发生偏折,圆孔引导作用明显减弱。(2)当裂纹扩展路径达到圆孔空腔附近时,裂纹尖端的拉伸应力区与圆孔边缘的拉伸应力区发生重合,此时裂纹扩展速度显著增大,裂纹动态断裂韧度显著减小。(3)裂纹的偏折方向与裂纹尖端最大周向应力的方向基本一致。(4)裂纹动态断裂韧度始终小于裂纹起裂韧度,且裂纹动态断裂韧度与裂纹动态扩展速度呈负相关关系。裂纹动态扩展速度越大,裂纹动态断裂韧度越小。
			            2021, 41(8): 083106.
			             
		            	doi: 10.11883/bzycj-2020-0204 
    					
						
			        
						摘要: 
为研究长期荷载作用对钢管混凝土构件抗撞击性能的影响,利用有限元软件ABAQUS建立了长期荷载与侧向撞击荷载作用的耦合分析模型以及撞击后剩余受压承载力计算模型。对比了一次加载模式下和长期荷载作用下构件遭受撞击的动力响应,采用剩余受压承载力系数量化分析了两种加载模式下构件的剩余受压承载力。典型的有限元模型分析表明:相较于一次加载模式,考虑长期荷载作用时撞击力峰值和平台值下降,撞击时间延长,构件跨中挠度增大,但撞击力对构件做功基本保持不变;考虑长期荷载作用的撞击过程轴向荷载做功比一次加载模式增大,增加的功主要通过外钢管的塑性变形耗散,核心混凝土贡献较小;长期荷载作用下构件的剩余受压承载力系数均低于一次加载模式,撞击条件相同时,一次加载模式下撞击后可以继续承载的构件在考虑长期荷载作用时可能会丧失承载能力;提高含钢率和钢材屈服强度、降低长期荷载比可有效减小长期荷载对构件抗撞击性能的不利影响。
			   
			        
			        
			        
				  
				为研究长期荷载作用对钢管混凝土构件抗撞击性能的影响,利用有限元软件ABAQUS建立了长期荷载与侧向撞击荷载作用的耦合分析模型以及撞击后剩余受压承载力计算模型。对比了一次加载模式下和长期荷载作用下构件遭受撞击的动力响应,采用剩余受压承载力系数量化分析了两种加载模式下构件的剩余受压承载力。典型的有限元模型分析表明:相较于一次加载模式,考虑长期荷载作用时撞击力峰值和平台值下降,撞击时间延长,构件跨中挠度增大,但撞击力对构件做功基本保持不变;考虑长期荷载作用的撞击过程轴向荷载做功比一次加载模式增大,增加的功主要通过外钢管的塑性变形耗散,核心混凝土贡献较小;长期荷载作用下构件的剩余受压承载力系数均低于一次加载模式,撞击条件相同时,一次加载模式下撞击后可以继续承载的构件在考虑长期荷载作用时可能会丧失承载能力;提高含钢率和钢材屈服强度、降低长期荷载比可有效减小长期荷载对构件抗撞击性能的不利影响。
			            2021, 41(8): 083201.
			             
		            	doi: 10.11883/bzycj-2020-0196 
    					
						
			        
						摘要: 
提出了一种基于地震波触发的战斗部爆炸冲击波超压测试方法,该测试方法能可靠获取战斗部动爆冲击波超压峰值。采用提出的测试方法对着靶速度为0、535和980 m/s的战斗部空中爆炸冲击波分别进行了测试,并对战斗部动爆冲击波超压峰值测试结果和经验公式计算值进行了对比,定量分析了战斗部速度对冲击波压力场分布的影响。最后,在实测数据的基础上采用薄板样条插值方法重建了战斗部动爆冲击波超压三维可视化模型,为实战复杂环境下基于实测数据研究动爆冲击波特性提供了依据。
			   
			        
			        
			        
				  
				提出了一种基于地震波触发的战斗部爆炸冲击波超压测试方法,该测试方法能可靠获取战斗部动爆冲击波超压峰值。采用提出的测试方法对着靶速度为0、535和980 m/s的战斗部空中爆炸冲击波分别进行了测试,并对战斗部动爆冲击波超压峰值测试结果和经验公式计算值进行了对比,定量分析了战斗部速度对冲击波压力场分布的影响。最后,在实测数据的基础上采用薄板样条插值方法重建了战斗部动爆冲击波超压三维可视化模型,为实战复杂环境下基于实测数据研究动爆冲击波特性提供了依据。
			            2021, 41(8): 083301.
			             
		            	doi: 10.11883/bzycj-2020-0250 
    					
						
			        
						摘要: 
弹体在高速侵彻混凝土介质时,由于弹靶之间强烈的局部作用,导致弹体发生质量损失和弹头钝化。为进一步探究弹体高速侵彻混凝土靶质量侵蚀效应及其影响因素,基于热熔化机制及变摩擦因数模型,考虑弹体侵彻过程中头部形状变化,修正了弹体高速侵彻混凝土质量侵蚀模型。为验证模型的可靠性,基于30 mm弹道炮平台,开展了卵形弹体高速(700~1 000 m/s)侵彻典型混凝土靶体实验,获得了弹体高速侵彻质量侵蚀结果。结合理论模型对本文实验及文献实验数据进行了对比分析计算,验证了本文修正模型的可靠性。结果表明:弹体侵彻过程中,滑动摩擦项占总摩擦力的10%~40%,它对弹体侵彻过程的影响不能被忽略;考虑摩擦因数变化的质量侵蚀模型预测结果与已有实验数据吻合得较好;与本文实验数据的最大误差不超过7%,能较准确地预测不同工况下弹体的质量损失。
			   
			        
			        
			        
				  
				弹体在高速侵彻混凝土介质时,由于弹靶之间强烈的局部作用,导致弹体发生质量损失和弹头钝化。为进一步探究弹体高速侵彻混凝土靶质量侵蚀效应及其影响因素,基于热熔化机制及变摩擦因数模型,考虑弹体侵彻过程中头部形状变化,修正了弹体高速侵彻混凝土质量侵蚀模型。为验证模型的可靠性,基于30 mm弹道炮平台,开展了卵形弹体高速(700~1 000 m/s)侵彻典型混凝土靶体实验,获得了弹体高速侵彻质量侵蚀结果。结合理论模型对本文实验及文献实验数据进行了对比分析计算,验证了本文修正模型的可靠性。结果表明:弹体侵彻过程中,滑动摩擦项占总摩擦力的10%~40%,它对弹体侵彻过程的影响不能被忽略;考虑摩擦因数变化的质量侵蚀模型预测结果与已有实验数据吻合得较好;与本文实验数据的最大误差不超过7%,能较准确地预测不同工况下弹体的质量损失。
			            2021, 41(8): 084201.
			             
		            	doi: 10.11883/bzycj-2020-0252 
    					
						
			        
						摘要: 
为研究活塞回复运动对火药燃气流动的影响,基于两相流理论对活塞控制侧向后喷武器的发射过程进行了数值模拟研究。考虑控制侧向后喷通道开闭的活塞-弹簧系统的往复运动,建立了结合膛内气固两相流、活塞腔内流固耦合和侧向排气管内气体瞬态流动的武器发射过程数学模型,并将数值模拟结果与相关文献进行了比较验证。得到了该武器发射过程中膛内流场分布与稀疏波传播特性,并与普通武器的膛内流场进行了对比分析。进一步研究了活塞回复运动对火药燃气流动和减后坐效率的影响。结果表明:相对于不考虑活塞的回复运动,在弹丸初速都降低1.52%的情况下,因为活塞回复关闭后喷通道,其减后坐效率由38.86%下降到32.88%,说明在此类武器研究中,不可忽视活塞回复运动。
			   
			        
			        
			        
				  
				为研究活塞回复运动对火药燃气流动的影响,基于两相流理论对活塞控制侧向后喷武器的发射过程进行了数值模拟研究。考虑控制侧向后喷通道开闭的活塞-弹簧系统的往复运动,建立了结合膛内气固两相流、活塞腔内流固耦合和侧向排气管内气体瞬态流动的武器发射过程数学模型,并将数值模拟结果与相关文献进行了比较验证。得到了该武器发射过程中膛内流场分布与稀疏波传播特性,并与普通武器的膛内流场进行了对比分析。进一步研究了活塞回复运动对火药燃气流动和减后坐效率的影响。结果表明:相对于不考虑活塞的回复运动,在弹丸初速都降低1.52%的情况下,因为活塞回复关闭后喷通道,其减后坐效率由38.86%下降到32.88%,说明在此类武器研究中,不可忽视活塞回复运动。
			            2021, 41(8): 084202.
			             
		            	doi: 10.11883/bzycj-2020-0467 
    					
						
			        
						摘要: 
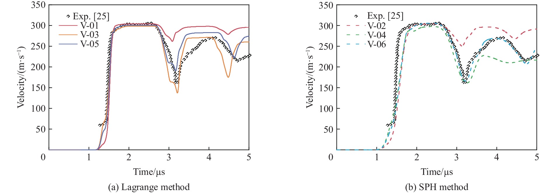
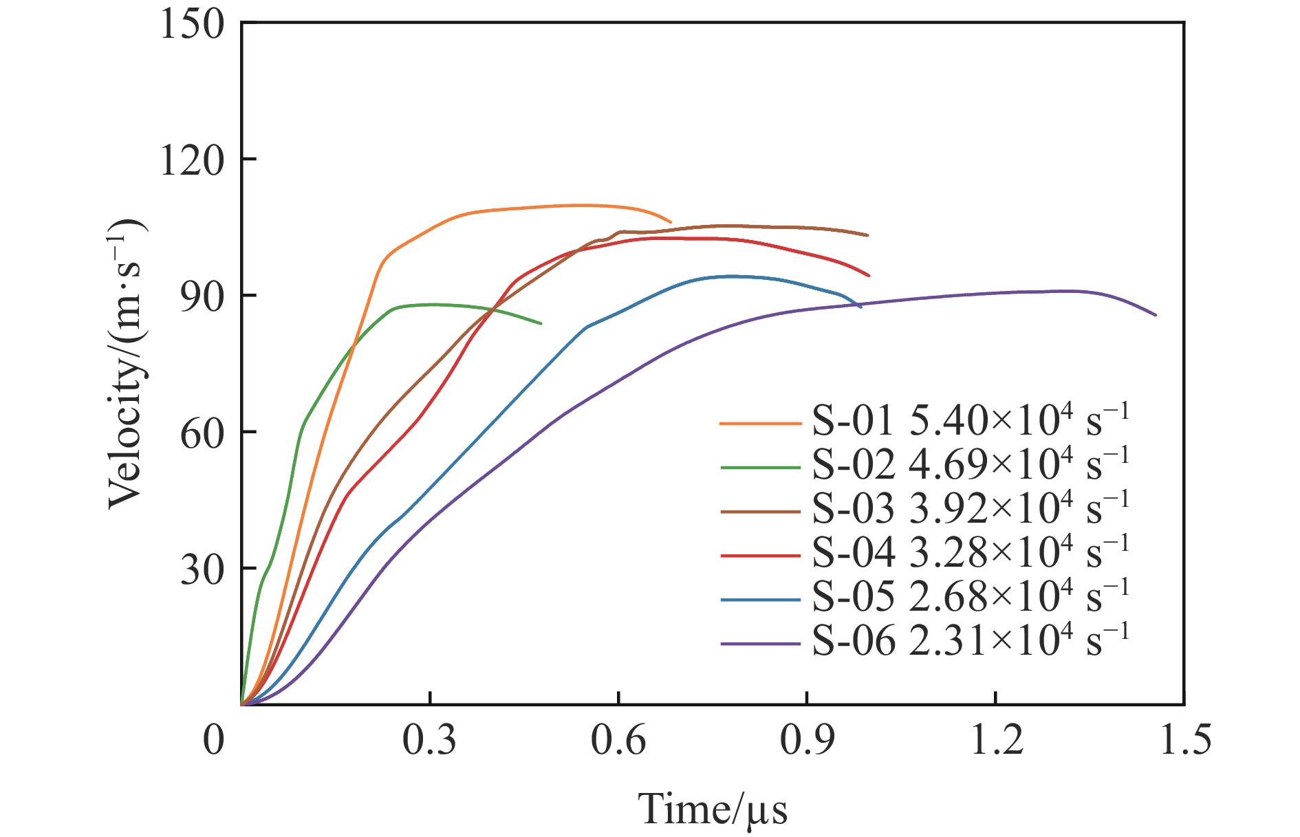
以延性金属钽为研究对象,对钽在平板撞击下的层裂行为进行了多尺度下的数值模拟研究,从微观视角对自由面速度曲线上的典型特征进行了新的解读。在宏观尺度,对比分析了光滑粒子流体动力学法(smootfied particle hydrodynamics, SPH)与Lagrange网格法以及几种本构模型的模拟结果及其适用性。通过与实验数据的对比表明,Steinberg-Cochran-Guinan本构模型在层裂模拟中与实验数据吻合较好,通过改变加载条件获得了不同应变率下的自由面速度曲线,分析了不同应变率下的自由面速度曲线中的典型特征。在微观尺度,采用分子动力学方法获得层裂区域内损伤演化情况,揭示了宏观尺度自由面速度曲线典型特征所蕴含的物理内涵。分析表明,层裂表现为材料内部微孔洞形核、长大和聚集的损伤演化过程,自由面速度曲线上的典型特征与层裂区域的损伤演化过程存在密切关联。Pullback信号是层裂区域内微孔洞形核的宏观表征;自由面速度曲线的下降幅值在一定程度上反映了微孔洞的形核条件,由此计算得到的层裂强度实际上是微孔洞的形核强度。此外,Pullback信号后的速度回跳速率反映了微损伤演化的速率。
			   
			        
			        
			        
				  
				以延性金属钽为研究对象,对钽在平板撞击下的层裂行为进行了多尺度下的数值模拟研究,从微观视角对自由面速度曲线上的典型特征进行了新的解读。在宏观尺度,对比分析了光滑粒子流体动力学法(smootfied particle hydrodynamics, SPH)与Lagrange网格法以及几种本构模型的模拟结果及其适用性。通过与实验数据的对比表明,Steinberg-Cochran-Guinan本构模型在层裂模拟中与实验数据吻合较好,通过改变加载条件获得了不同应变率下的自由面速度曲线,分析了不同应变率下的自由面速度曲线中的典型特征。在微观尺度,采用分子动力学方法获得层裂区域内损伤演化情况,揭示了宏观尺度自由面速度曲线典型特征所蕴含的物理内涵。分析表明,层裂表现为材料内部微孔洞形核、长大和聚集的损伤演化过程,自由面速度曲线上的典型特征与层裂区域的损伤演化过程存在密切关联。Pullback信号是层裂区域内微孔洞形核的宏观表征;自由面速度曲线的下降幅值在一定程度上反映了微孔洞的形核条件,由此计算得到的层裂强度实际上是微孔洞的形核强度。此外,Pullback信号后的速度回跳速率反映了微损伤演化的速率。
			            2021, 41(8): 085101.
			             
		            	doi: 10.11883/bzycj-2020-0229 
    					
						
			        
						摘要: 
军事人员在战斗中需要穿戴装备,穿戴装备后对车内乘员承受车辆底部爆炸垂向冲击时的损伤有影响。通过垂向冲击试验与仿真模拟的方法,研究了穿戴装备在身上的分布对于乘员损伤的影响。根据AEP55乘员伤害准则,以盆骨z向加速度和腰椎轴向力为乘员损伤的参考目标,首先通过垂向冲击试验的进行,研究了不同穿戴装备质量对于乘员损伤的影响;接着通过有限元模型对试验进行验证和优化,进而研究穿戴装备位置与松紧度对于垂向冲击下乘员损伤的影响。结果表明随着穿戴装备质量的增加,乘员腰椎损伤加重,脊柱损伤概率减小;装备分布在躯干位置越靠近上部,与身体接触松紧度越紧,乘员腰椎与脊柱的负荷越小,越不易受伤。
			   
			        
			        
			        
				  
				军事人员在战斗中需要穿戴装备,穿戴装备后对车内乘员承受车辆底部爆炸垂向冲击时的损伤有影响。通过垂向冲击试验与仿真模拟的方法,研究了穿戴装备在身上的分布对于乘员损伤的影响。根据AEP55乘员伤害准则,以盆骨z向加速度和腰椎轴向力为乘员损伤的参考目标,首先通过垂向冲击试验的进行,研究了不同穿戴装备质量对于乘员损伤的影响;接着通过有限元模型对试验进行验证和优化,进而研究穿戴装备位置与松紧度对于垂向冲击下乘员损伤的影响。结果表明随着穿戴装备质量的增加,乘员腰椎损伤加重,脊柱损伤概率减小;装备分布在躯干位置越靠近上部,与身体接触松紧度越紧,乘员腰椎与脊柱的负荷越小,越不易受伤。
			            2021, 41(8): 085201.
			             
		            	doi: 10.11883/bzycj-2020-0433 
    					
						
			        
						摘要: 
充填采矿法的充填体与矿岩体构成的界面耦合结构体,受采矿爆破影响会持续受到动力扰动,在充-岩界面耦合处易产生脱粘、裂隙扩展等行为,为井下生产带来安全隐患。采用ANSYS/LS-DYNA建立了充-岩界面耦合体模型,分析了爆破作用对界面耦合体结构的力学影响,获取了不同界面粗糙度、充填体养护龄期和起爆方式等因素对爆破裂隙扩展及应力波峰值应力的影响,探讨了爆破动力作用机理。结果表明:(1)爆破冲击在界面耦合体中存在拉、压和剪3种力学作用,且随着界面粗糙度的提高,界面受力呈先上升后下降趋势;(2)随着充填体养护时间增长,界面破坏逐步从受拉转化成剪切损伤;(3)同时起爆对耦合界面的损伤比逐孔起爆的小。
			   
			        
			        
			        
				  
				充填采矿法的充填体与矿岩体构成的界面耦合结构体,受采矿爆破影响会持续受到动力扰动,在充-岩界面耦合处易产生脱粘、裂隙扩展等行为,为井下生产带来安全隐患。采用ANSYS/LS-DYNA建立了充-岩界面耦合体模型,分析了爆破作用对界面耦合体结构的力学影响,获取了不同界面粗糙度、充填体养护龄期和起爆方式等因素对爆破裂隙扩展及应力波峰值应力的影响,探讨了爆破动力作用机理。结果表明:(1)爆破冲击在界面耦合体中存在拉、压和剪3种力学作用,且随着界面粗糙度的提高,界面受力呈先上升后下降趋势;(2)随着充填体养护时间增长,界面破坏逐步从受拉转化成剪切损伤;(3)同时起爆对耦合界面的损伤比逐孔起爆的小。
			            2021, 41(8): 085901.
			             
		            	doi: 10.11883/bzycj-2020-0395 
    					
						
			        
						摘要: 
为了优化单兵头面部防护装备结构,提升防护性能,首先开展了基于实爆场和激波管环境的裸头模抗爆炸冲击波对比测试。在此基础上,利用激波管对佩戴不同结构、不同防护等级的头盔-头模系统分别进行了正向及侧向爆炸冲击波防护性能测试,并对头盔-头模系统前部、前额部、顶部、后部、耳部以及眼部等重点区域的冲击波超压峰值和持续作用时间进行对比分析。实验结果表明,基于激波管的抗爆炸冲击波测试方法可替代外场实爆进行考核。受到冲击波正向作用时:两半盔头模顶部测点所测冲击波超压峰值约为喷管出口的 1/6,是裸头模和一体盔头模的 1/3;冲击波在两半盔顶部分体结构处分流卸压并形成叠加反射,导致作用时间延长(从 5.5~8.5 ms),但超压峰值降低明显;对后部测点而言,冲击波的绕行和叠加使一体盔头模所测冲击波超压峰值(365 kPa)略高于两半盔头模(303 kPa),约为裸头模(148 kPa)的 2.5 倍。通过提高单兵头面部防护装备结构密闭性(如佩戴眼镜、耳罩或者防护面罩),可有效阻止冲击波进入头盔-头模系统内部,减弱叠加汇聚效应,提高单兵头面部装备防护性能。
			   
			        
			        
			        
				  
				为了优化单兵头面部防护装备结构,提升防护性能,首先开展了基于实爆场和激波管环境的裸头模抗爆炸冲击波对比测试。在此基础上,利用激波管对佩戴不同结构、不同防护等级的头盔-头模系统分别进行了正向及侧向爆炸冲击波防护性能测试,并对头盔-头模系统前部、前额部、顶部、后部、耳部以及眼部等重点区域的冲击波超压峰值和持续作用时间进行对比分析。实验结果表明,基于激波管的抗爆炸冲击波测试方法可替代外场实爆进行考核。受到冲击波正向作用时:两半盔头模顶部测点所测冲击波超压峰值约为喷管出口的 1/6,是裸头模和一体盔头模的 1/3;冲击波在两半盔顶部分体结构处分流卸压并形成叠加反射,导致作用时间延长(从 5.5~8.5 ms),但超压峰值降低明显;对后部测点而言,冲击波的绕行和叠加使一体盔头模所测冲击波超压峰值(365 kPa)略高于两半盔头模(303 kPa),约为裸头模(148 kPa)的 2.5 倍。通过提高单兵头面部防护装备结构密闭性(如佩戴眼镜、耳罩或者防护面罩),可有效阻止冲击波进入头盔-头模系统内部,减弱叠加汇聚效应,提高单兵头面部装备防护性能。

    						
	   			
在线阅读
PDF 
本文被引